Free Access

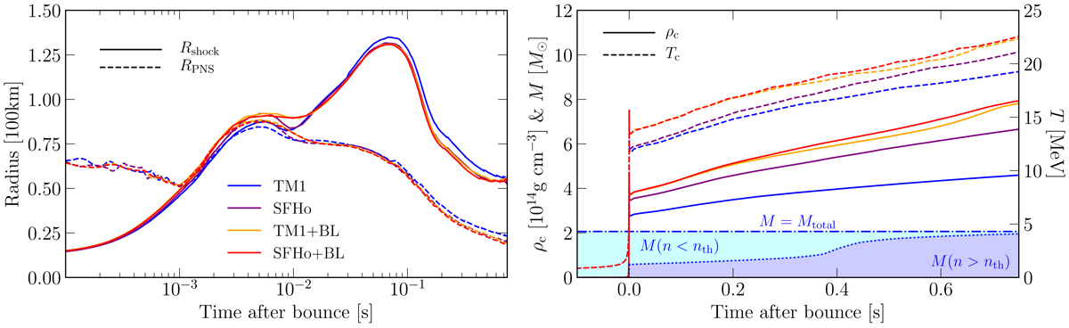
Fig. 10.

image

Left: temporal evolution of the shock radius (solid) and of the PNS radius (dashed) for each of the four spherically symmetric CCSN models. Models differ by the nuclear EOSs, including two versions of the BLh EOS and two RMF EOSs, namely HS(TM1) and SFHo. The two BLh EOSs use the HS(TM1) and the SFHo EOS for the low-density regime (n <  nth). We note the logarithmic scale on the time axis. Right: same as on the left panel, but for the central density (solid) and temperature (dashed). The cyan (blue) shaded area represents matter below (above) the threshold density nth (used to join the BLh and the HS(TM1) EOS) for the BLh+TM1 model.

Current usage metrics show cumulative count of Article Views (full-text article views including HTML views, PDF and ePub downloads, according to the available data) and Abstracts Views on Vision4Press platform.

Data correspond to usage on the plateform after 2015. The current usage metrics is available 48-96 hours after online publication and is updated daily on week days.

Initial download of the metrics may take a while.