Free Access

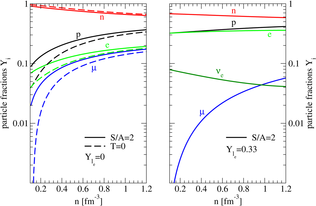
Fig. 6.

image

Composition of dense matter for different physical regimes. Left (right) panel: composition of β-stable neutrino-free (trapped) nuclear matter, i.e., the particle fractions Yi = ni/n (with i = n, p, e, μ), in the case of an isoentropic EOS with S/A = 2. Right panel: we fix Yle = 0.33. The dashed lines in the left panel represent the composition of the T = 0 BL EOS (Bombaci & Logoteta 2018) which is reported for comparison. See text for further details.

Current usage metrics show cumulative count of Article Views (full-text article views including HTML views, PDF and ePub downloads, according to the available data) and Abstracts Views on Vision4Press platform.

Data correspond to usage on the plateform after 2015. The current usage metrics is available 48-96 hours after online publication and is updated daily on week days.

Initial download of the metrics may take a while.