Open Access

This article has an erratum: [https://doi.org/10.1051/0004-6361/202039465e]


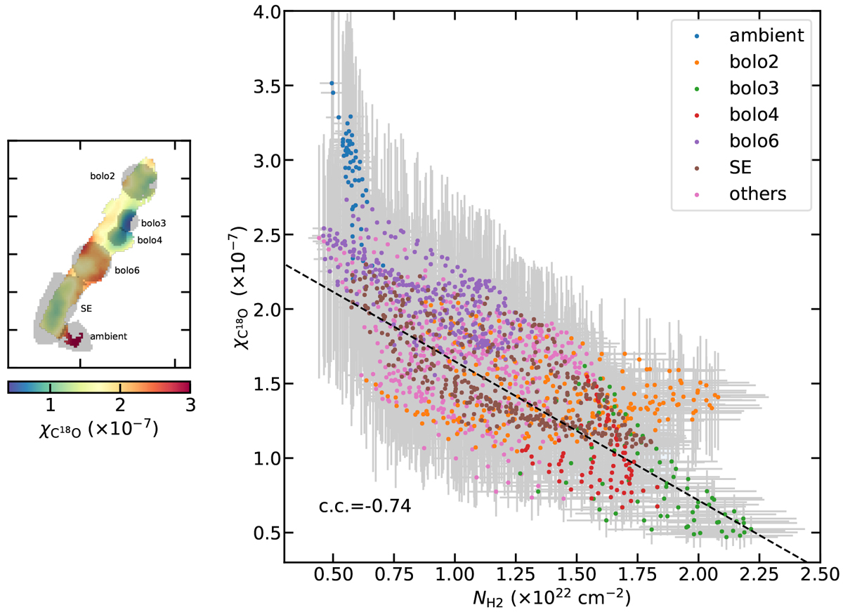
Fig. 13

image

Left: C18O fractional abundance map with different labeled masks which correspond to the legend of the right panel. Right: C18O fractional abundance as a function of H2 column density. The gray error bars indicate the measured uncertainties in C18O fractional abundance and H2 column density. The colors of the markers correspond to different regions indicated in the legend. The Pearson correlation coefficient isshown in the lower left. The black dashed line represents the linear fit to the observed relation.

Current usage metrics show cumulative count of Article Views (full-text article views including HTML views, PDF and ePub downloads, according to the available data) and Abstracts Views on Vision4Press platform.

Data correspond to usage on the plateform after 2015. The current usage metrics is available 48-96 hours after online publication and is updated daily on week days.

Initial download of the metrics may take a while.