Free Access

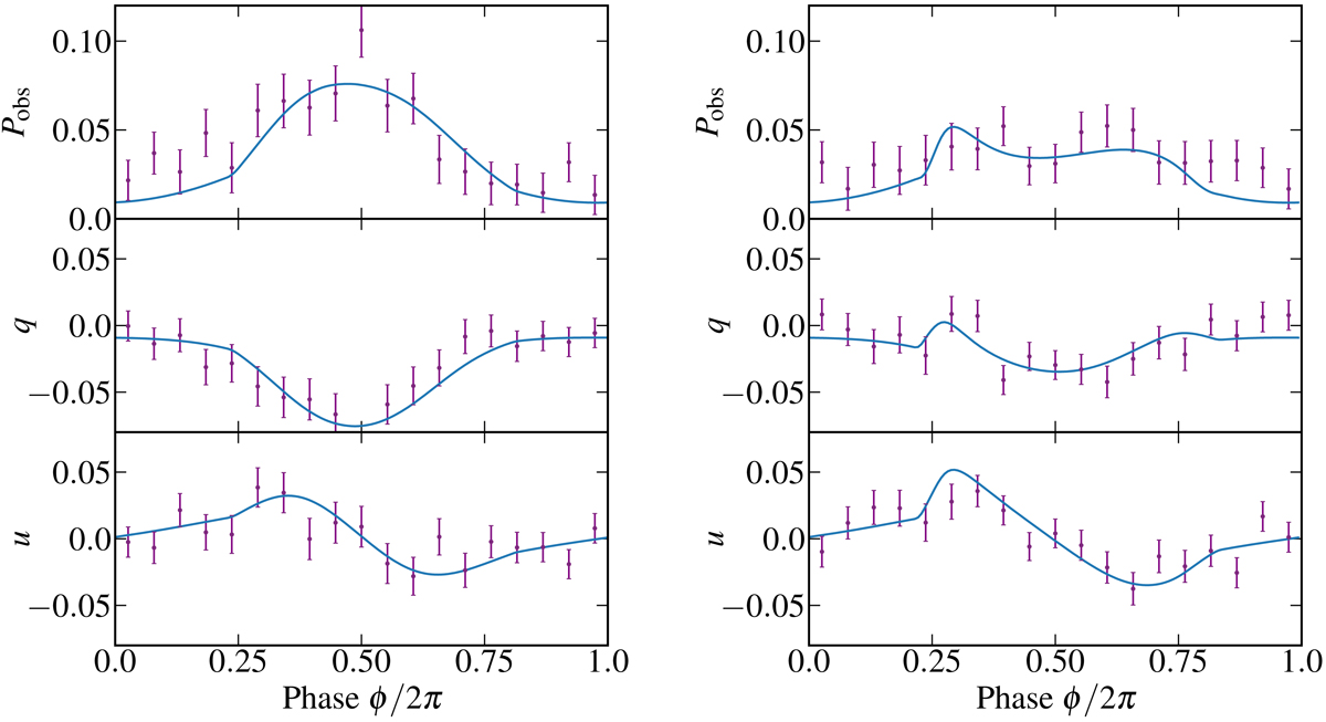
Fig. 8.

image

Simulated polarization data as in Fig. 5 (for 200 ks exposure time), but for the case of two antipodal spots with θ = 20° and θ2 = 160° (left panels), and two non-antipodal spots with θ = 20° and θ2 = 120° (right panels).

Current usage metrics show cumulative count of Article Views (full-text article views including HTML views, PDF and ePub downloads, according to the available data) and Abstracts Views on Vision4Press platform.

Data correspond to usage on the plateform after 2015. The current usage metrics is available 48-96 hours after online publication and is updated daily on week days.

Initial download of the metrics may take a while.