Free Access

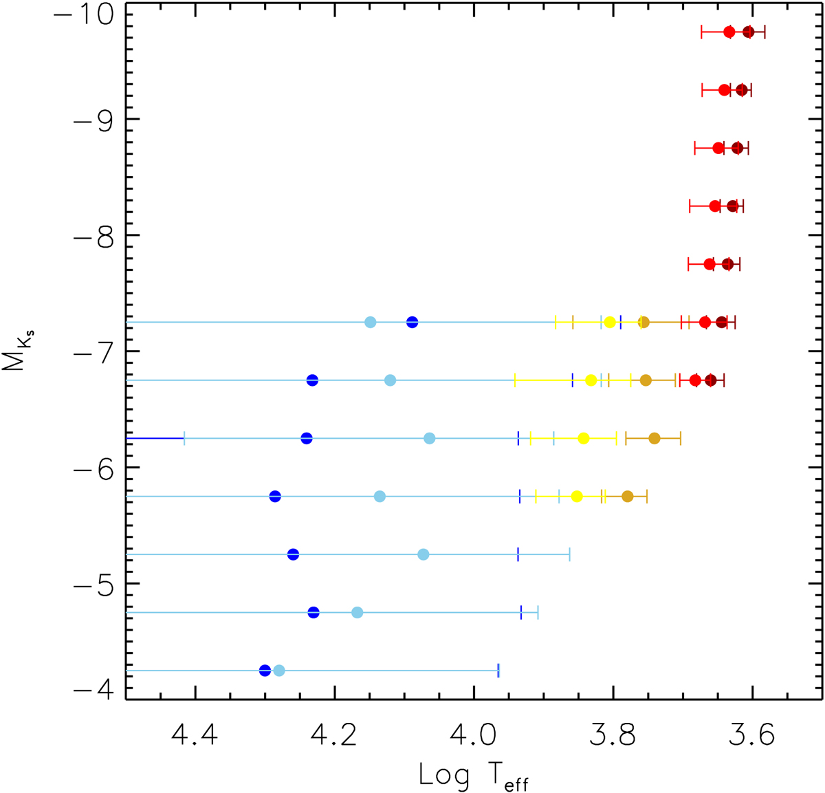
Fig. 14.

image

Teff of massive star populations derived from reddening-free color of (J − KS)0. The Teff ranges are 3500 < Teff < 5000 K for the RSG population, 5000 < Teff < 8000 K for the YSG population, and Teff > 8000 K for the BSG population. Errors indicate the SD of the Teff.

Current usage metrics show cumulative count of Article Views (full-text article views including HTML views, PDF and ePub downloads, according to the available data) and Abstracts Views on Vision4Press platform.

Data correspond to usage on the plateform after 2015. The current usage metrics is available 48-96 hours after online publication and is updated daily on week days.

Initial download of the metrics may take a while.