Free Access

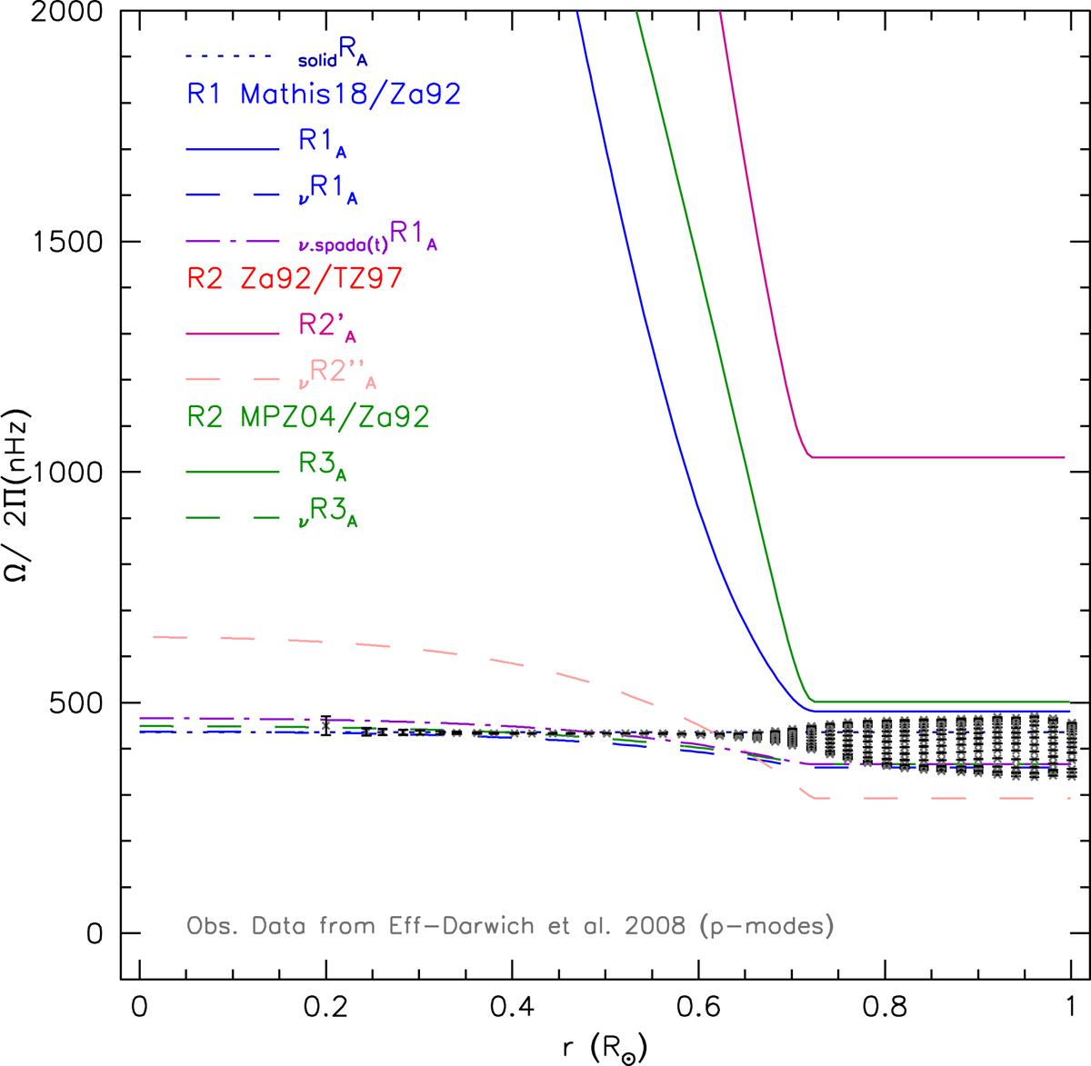
Fig. 5.

image

Angular velocity profiles vs the radius at solar age for models presented in Fig. 3 compared to the rotation profile of the Sun (in dark grey) obtained from helioseismology from Eff-Darwich et al. (2008). The solid line, the dotted line, the dashed line, and the dot-dashed line refer to the differential, solid, νadd, and νadd(t) rotation cases, respectively.

Current usage metrics show cumulative count of Article Views (full-text article views including HTML views, PDF and ePub downloads, according to the available data) and Abstracts Views on Vision4Press platform.

Data correspond to usage on the plateform after 2015. The current usage metrics is available 48-96 hours after online publication and is updated daily on week days.

Initial download of the metrics may take a while.