Open Access

Fig. 11

image

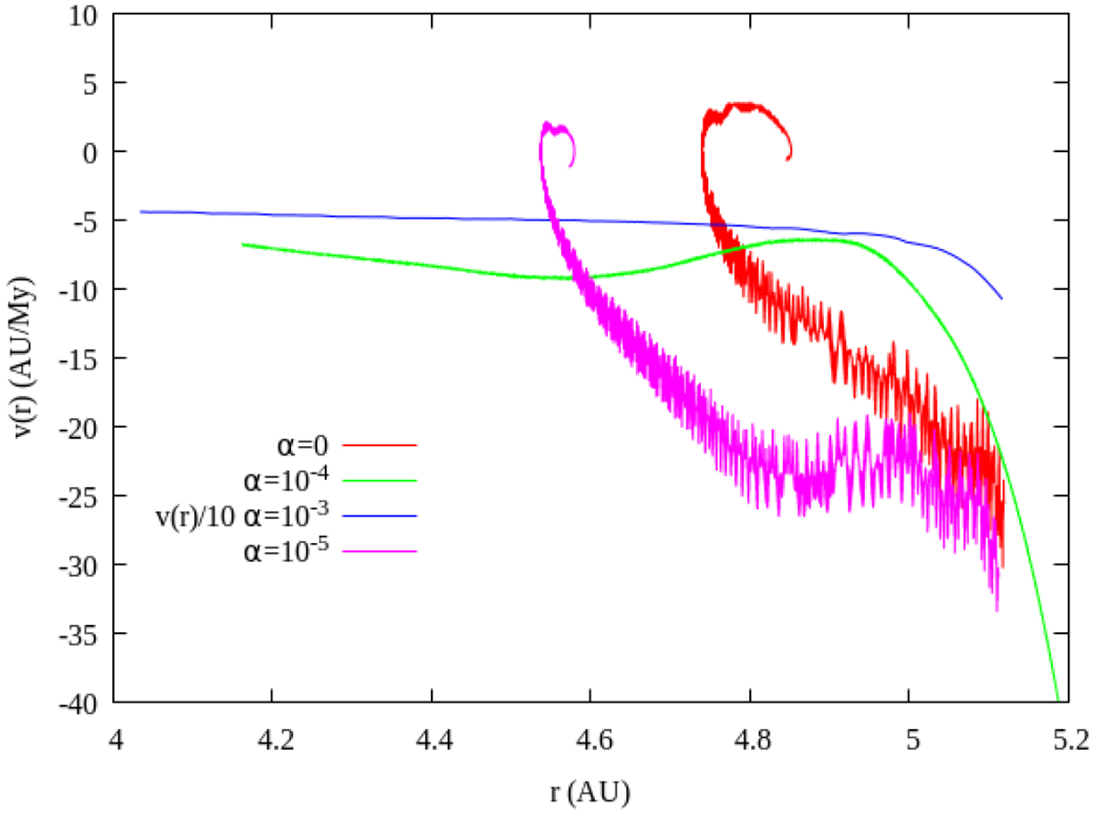
Migration speed as a function of planet’s distance from the star in 3D simulations of discs with different viscosities (i.e. simulations M3D, M3D α5, M3D α4 and M3Dα3; see Table 1). A running average procedure has been used to reduce fluctuations, with the consequence that all but the green curve start at about 5.1 au instead of the released distance of 5.2 au. In the α = 10−3 and 10−4 cases migration is always inwards (negative radial speed). Notice that we have divided by 10 the migration speed of M3D α3 in order to scale it proportionally to viscosity relatively to the α = 10−4 case. The migration pattern in the inviscid case does not respect this scaling and turns positive after a short phase of inward migration. The same happens in the M3D α5 simulation.

Current usage metrics show cumulative count of Article Views (full-text article views including HTML views, PDF and ePub downloads, according to the available data) and Abstracts Views on Vision4Press platform.

Data correspond to usage on the plateform after 2015. The current usage metrics is available 48-96 hours after online publication and is updated daily on week days.

Initial download of the metrics may take a while.