Open Access

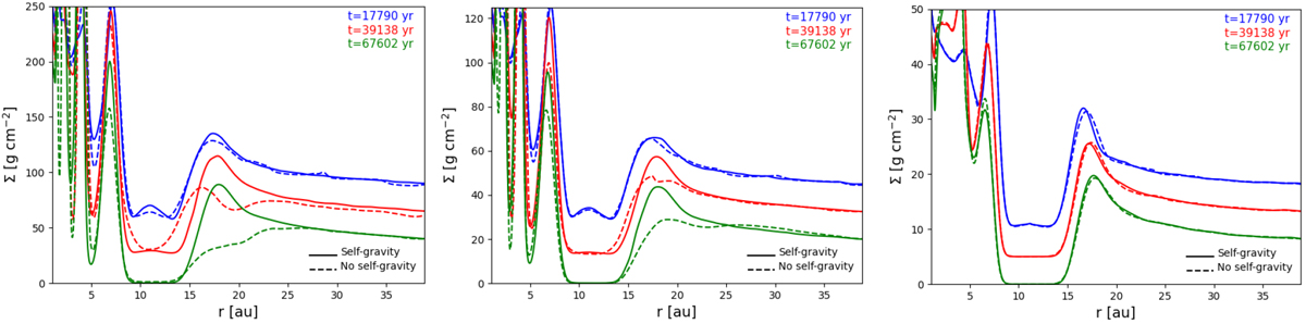
Fig. 13

image

Azimuthally-averaged radial surface density profiles versus time for 2D runs with and without self-gravity, and a Jupiter-mass planet at 13 au. Moving from left to right: simulations M∕2, M∕4 and M∕10. Note that the curves corresponding to different times have been vertically offset for clarity.

Current usage metrics show cumulative count of Article Views (full-text article views including HTML views, PDF and ePub downloads, according to the available data) and Abstracts Views on Vision4Press platform.

Data correspond to usage on the plateform after 2015. The current usage metrics is available 48-96 hours after online publication and is updated daily on week days.

Initial download of the metrics may take a while.