Highlight
Open Access

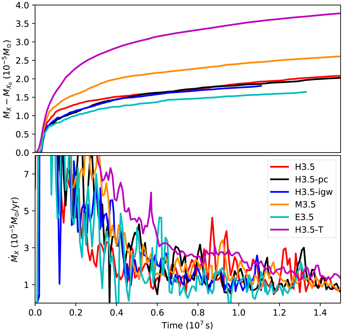
Fig. 13.

image

Change in the hydrogen mass for the initial convective core of our 3.5 M simulations. The top and bottom panels show the hydrogen mass relative to its initial value and the corresponding rate of change, respectively.

Current usage metrics show cumulative count of Article Views (full-text article views including HTML views, PDF and ePub downloads, according to the available data) and Abstracts Views on Vision4Press platform.

Data correspond to usage on the plateform after 2015. The current usage metrics is available 48-96 hours after online publication and is updated daily on week days.

Initial download of the metrics may take a while.