Highlight
Open Access

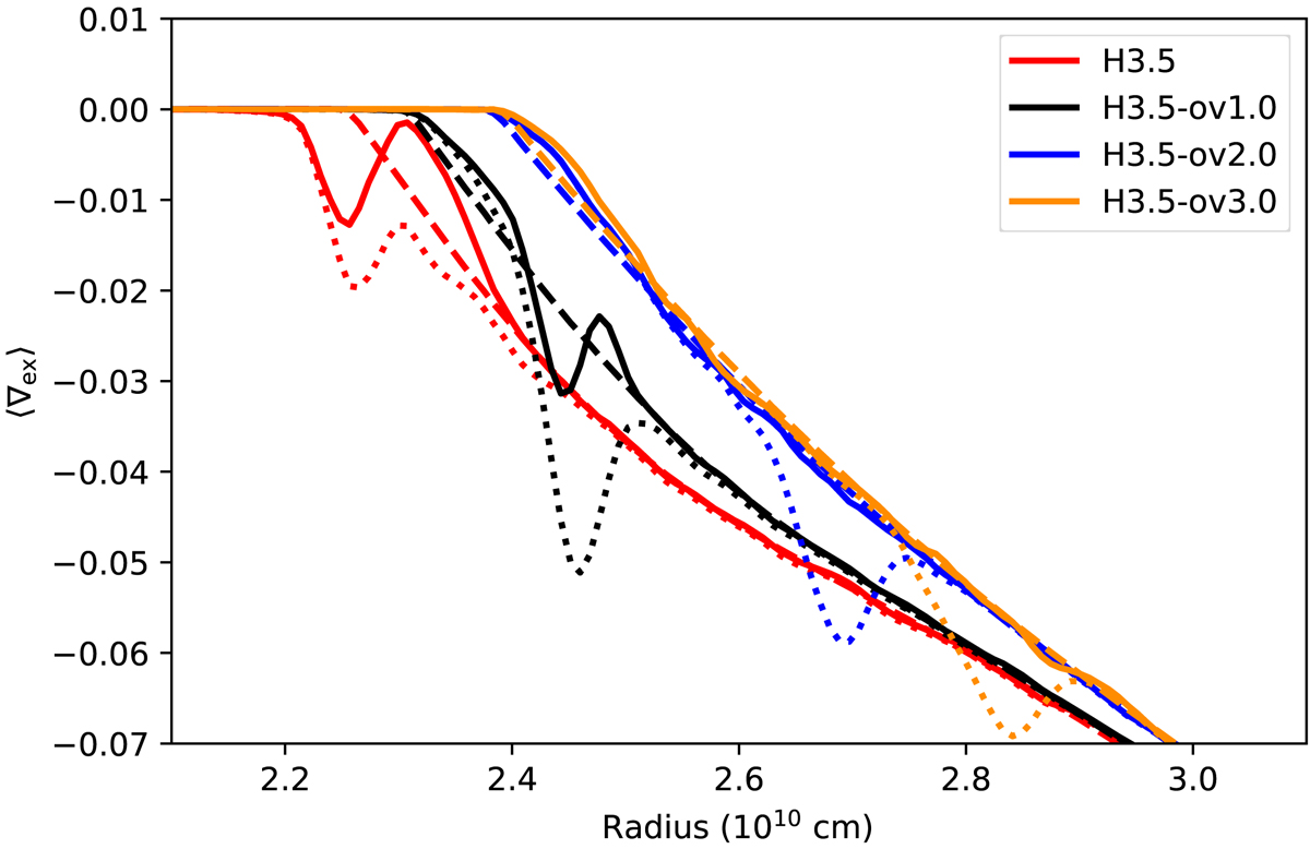
Fig. 18.

image

Angularly averaged profiles of the superadiabaticity in models of a 3.5 M star with different amounts of overshooting. Dashed and solid lines show profiles according to the Schwarzschild criterion at t = 0 and after 4 107 s, respectively. The dotted lines give the initial profiles according to the Ledoux criterion.

Current usage metrics show cumulative count of Article Views (full-text article views including HTML views, PDF and ePub downloads, according to the available data) and Abstracts Views on Vision4Press platform.

Data correspond to usage on the plateform after 2015. The current usage metrics is available 48-96 hours after online publication and is updated daily on week days.

Initial download of the metrics may take a while.