Free Access

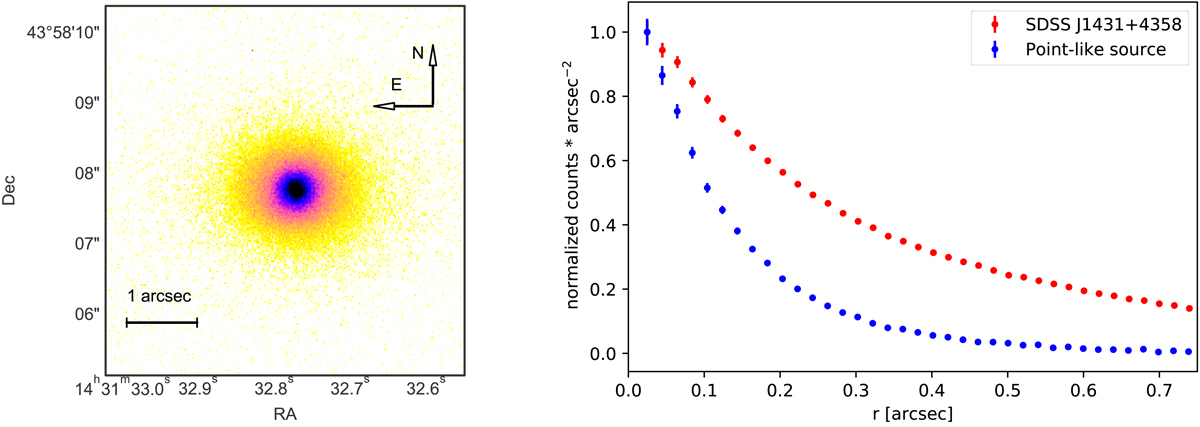
Fig. 5.

image

Left panel: zoomed (5″ × 5″) K-band image of SDSS J1431+4358 taken with LBT+LUCI+FLAO in diffraction-limited mode. Right panel: normalized radial profiles in the K-band, measured within circular annuli centered on the target (SDSS J1431+4358, red points) and on the point-like source (blue points) used for the PSF reconstruction at about 5.5″ from the target (see Sect. 3.2).

Current usage metrics show cumulative count of Article Views (full-text article views including HTML views, PDF and ePub downloads, according to the available data) and Abstracts Views on Vision4Press platform.

Data correspond to usage on the plateform after 2015. The current usage metrics is available 48-96 hours after online publication and is updated daily on week days.

Initial download of the metrics may take a while.