Open Access

Fig. 5

image

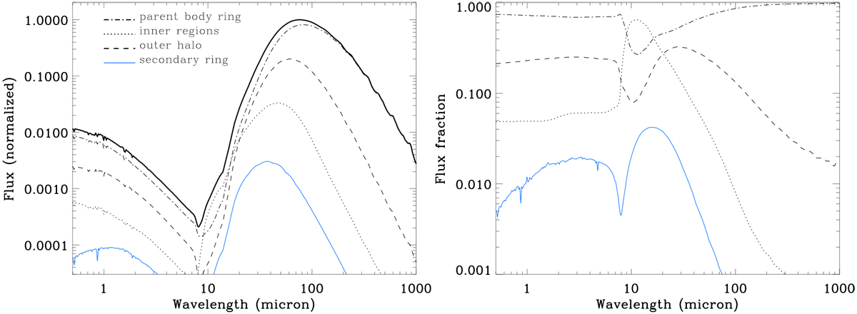
Normalised spectral energy distribution (SED) for the nominal case (left) and fraction of the flux coming from four different regions of the system as a function of wavelengths (right). The secondary ring corresponds to the flux coming from within 40 au from the companion star.

Current usage metrics show cumulative count of Article Views (full-text article views including HTML views, PDF and ePub downloads, according to the available data) and Abstracts Views on Vision4Press platform.

Data correspond to usage on the plateform after 2015. The current usage metrics is available 48-96 hours after online publication and is updated daily on week days.

Initial download of the metrics may take a while.