Free Access

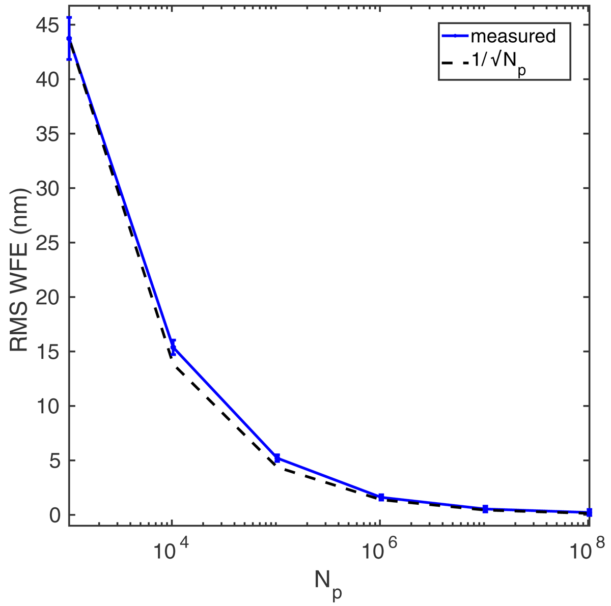
Fig. 8.

image

Average residual rms WFE as a function of Np. Error bars denote the standard deviation in the residual rms WFE across all 100 aberration cases. The dotted line plots the pure photon noise case . The fit of this function to the measured data shows that LDFC with the SCExAO APvAPP is photon noise-limited.

Current usage metrics show cumulative count of Article Views (full-text article views including HTML views, PDF and ePub downloads, according to the available data) and Abstracts Views on Vision4Press platform.

Data correspond to usage on the plateform after 2015. The current usage metrics is available 48-96 hours after online publication and is updated daily on week days.

Initial download of the metrics may take a while.