Free Access

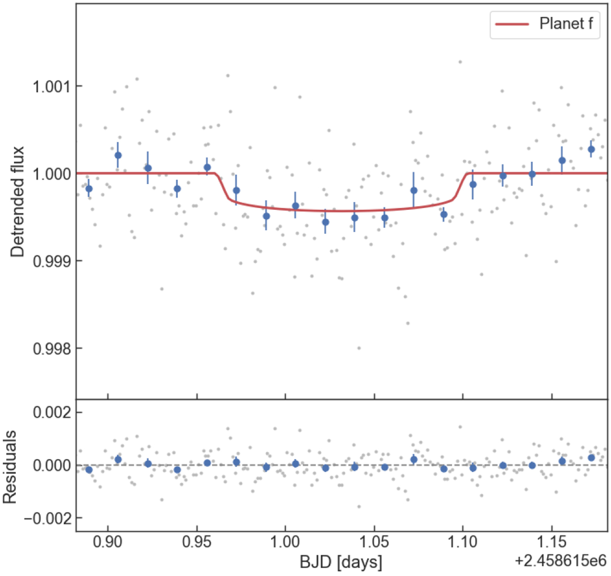
Fig. 11

image

Portion of the TESS sector 11 LC. Data are binned on a timescale of 24 min. The red solid line shows the transit model for HD 108236 f. Neglecting the presence of HD 108236 f and performing a four-planet fit, the RMS of the binned residuals would be 154 ppm. Instead, a five-planet fit reduces the RMS of the binned residuals to 130 ppm.

Current usage metrics show cumulative count of Article Views (full-text article views including HTML views, PDF and ePub downloads, according to the available data) and Abstracts Views on Vision4Press platform.

Data correspond to usage on the plateform after 2015. The current usage metrics is available 48-96 hours after online publication and is updated daily on week days.

Initial download of the metrics may take a while.