Free Access

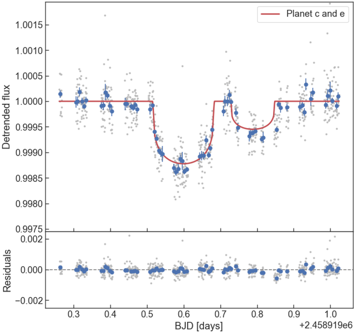
Fig. 7

image

Detrended CHEOPS LC (first visit, file key CH_PR300046_TG000101_V0102) containing the transits of HD 108236 c at T0,c,CH ~ 2458919.8 BJD and HD 108236 e at T0,e,CH ~ 2458919.6 BJD. The red lineshows the best-fit transit model, while the bottom panel shows the residuals following removal of the transit model.

Current usage metrics show cumulative count of Article Views (full-text article views including HTML views, PDF and ePub downloads, according to the available data) and Abstracts Views on Vision4Press platform.

Data correspond to usage on the plateform after 2015. The current usage metrics is available 48-96 hours after online publication and is updated daily on week days.

Initial download of the metrics may take a while.