Free Access

Fig. 8

image

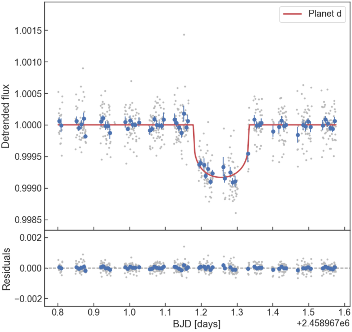
Same as Fig. 7, but for HD 108236 d (second visit, file key CH_PR100031_TG015401_V0102).

Current usage metrics show cumulative count of Article Views (full-text article views including HTML views, PDF and ePub downloads, according to the available data) and Abstracts Views on Vision4Press platform.

Data correspond to usage on the plateform after 2015. The current usage metrics is available 48-96 hours after online publication and is updated daily on week days.

Initial download of the metrics may take a while.