Free Access

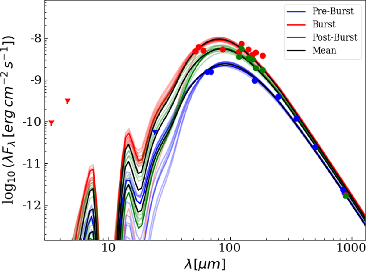
Fig. 6

image

Modeled pre-burst MM1 SEDs (blue), together with its burst (red) and post-burst SED (green). Triangles mark upper limits. The weighted mean-model (see text) is shown in black. It is shown three times but with different source luminosities for the respective observing epochs. Since the 870 (pre-) and 889 μm (post- and burst) fluxes are very similar, their symbols cannot easily be distinguished.

Current usage metrics show cumulative count of Article Views (full-text article views including HTML views, PDF and ePub downloads, according to the available data) and Abstracts Views on Vision4Press platform.

Data correspond to usage on the plateform after 2015. The current usage metrics is available 48-96 hours after online publication and is updated daily on week days.

Initial download of the metrics may take a while.