Press Release
Open Access

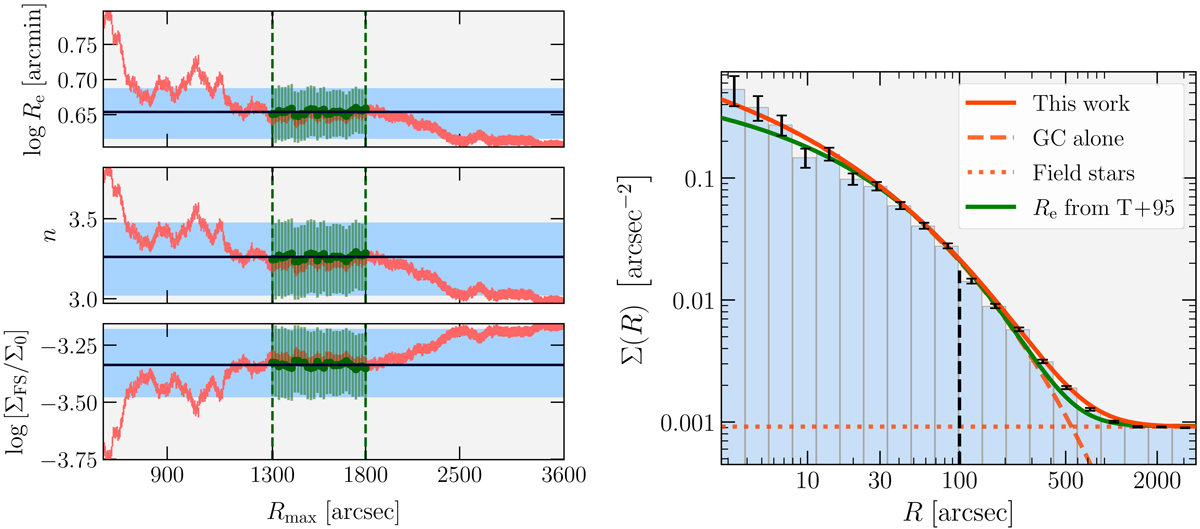
Fig. 10.

image

Fits to the stellar surface density profile of NGC 6397. Left: Sérsic plus constant field star surface density fits, as a function of the maximum allowed radius, Rmax. The values of Re, n, and ΣFS obtained by MLE for 500 values of Rmax are shown in red. The black horizontal line and light blue shaded region respectively show the mean marginal values of 30 MCMC fits and their uncertainties, performed in the range of Rmax (delimited by the green vertical lines) where Re, n and ΣFS are roughly independent of Rmax. Right: goodness of fit of the surface density profile. The histogram shows the empirical profile, using 20 logarithmic radial bins extending from the innermost data point to 1°. The curves show different models: our MCMC fit (red) of a Sérsic model (dashed) plus constant field stars SD (dotted), as well as the total (solid) to compare with the data. We also show the Sérsic plus constant background prediction from MLE fits, but with the effective radius fixed to the value found by Trager et al. (1995) (green). The vertical black line highlights the separation between HST and Gaia data used for the fits.

Current usage metrics show cumulative count of Article Views (full-text article views including HTML views, PDF and ePub downloads, according to the available data) and Abstracts Views on Vision4Press platform.

Data correspond to usage on the plateform after 2015. The current usage metrics is available 48-96 hours after online publication and is updated daily on week days.

Initial download of the metrics may take a while.