Free Access

Fig. 1

image

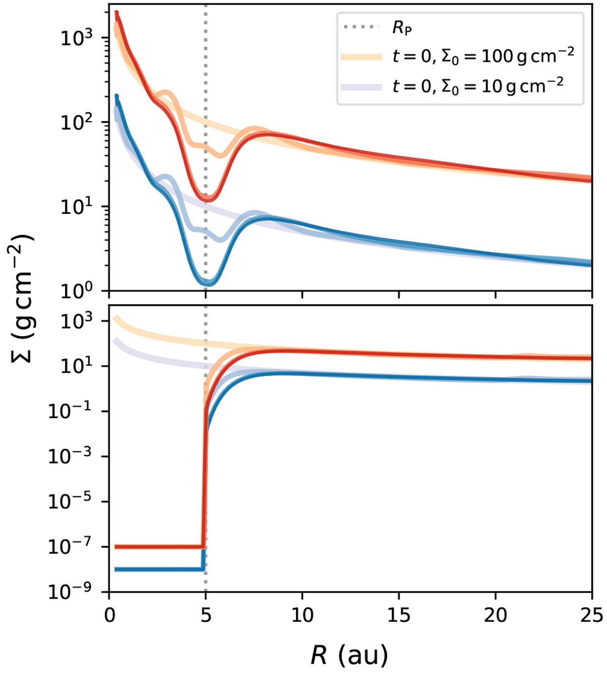
Azimuthally averaged gas surface density evolution of the primordial (top) and transition discs (bottom) modelled with FARGO. The different lines correspond to snapshots at orbit 0, 100, 1000, and 1500 for the primordial disc at orbit 0, 10, 150, and200 for the transition disc. During this time, the planet position was kept fixed and photoevaporation was switched off.

Current usage metrics show cumulative count of Article Views (full-text article views including HTML views, PDF and ePub downloads, according to the available data) and Abstracts Views on Vision4Press platform.

Data correspond to usage on the plateform after 2015. The current usage metrics is available 48-96 hours after online publication and is updated daily on week days.

Initial download of the metrics may take a while.