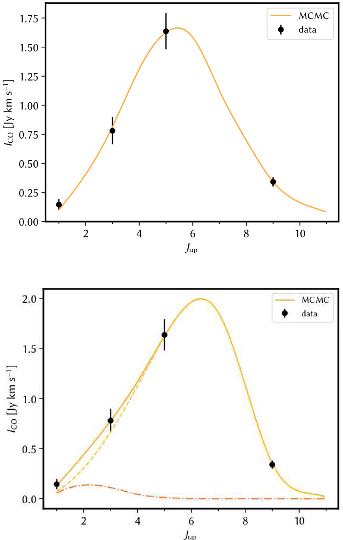
Fig. 15.

Large Velocity Gradient (LVG) model fit to the 12CO SLED of HerBS-89a (after correcting for lens magnification). Top panel: data are shown as black dots and the solid curve shows the best fit from the single component (MCMC) model corresponding to the maximum posterior possibility (see Sect. 6.3 for details). Bottom panel: two-components fit, including an additional cold and extended component (darker, dot-dashed line).
Current usage metrics show cumulative count of Article Views (full-text article views including HTML views, PDF and ePub downloads, according to the available data) and Abstracts Views on Vision4Press platform.
Data correspond to usage on the plateform after 2015. The current usage metrics is available 48-96 hours after online publication and is updated daily on week days.
Initial download of the metrics may take a while.