Free Access

Fig. 10

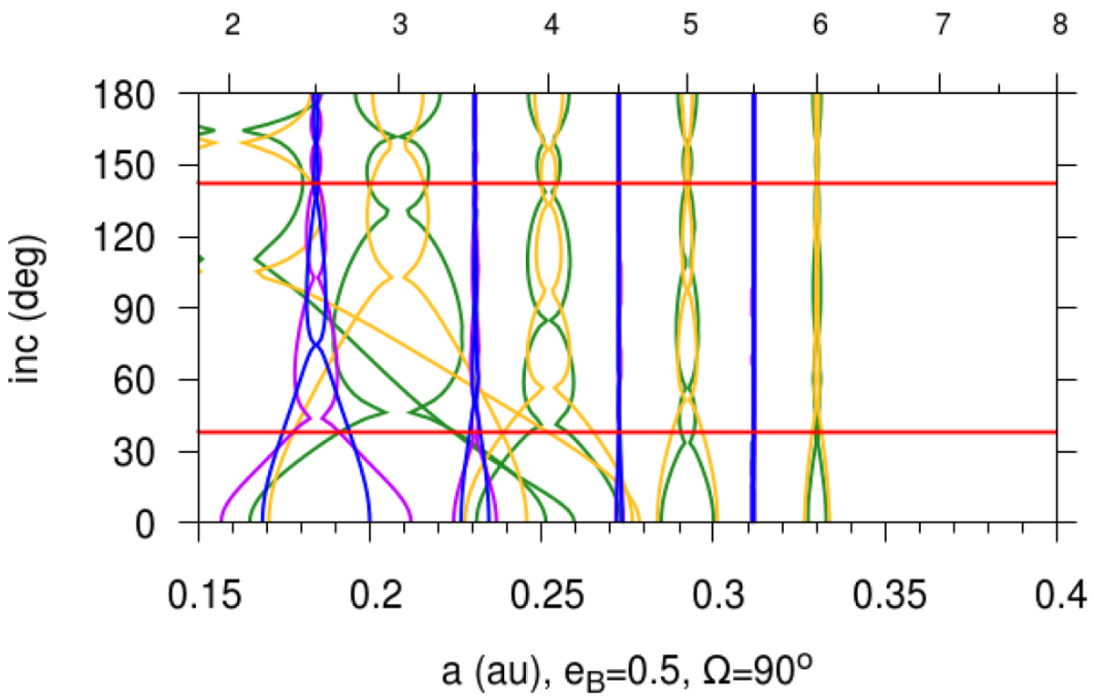
image

Resonance N∕1 and N∕2 widths setting a different mass ratio between components q = {0.2, 1} in the plane (a, i) calculated with the semianalytical model. For q = 0.2 we use green (N∕1) and magenta(N∕2), and for q = 1 we use orange (N∕1) and blue (N∕2) resonances. Horizontal lines indicate the separatrix location for nodal libration. See text for more detail.

Current usage metrics show cumulative count of Article Views (full-text article views including HTML views, PDF and ePub downloads, according to the available data) and Abstracts Views on Vision4Press platform.

Data correspond to usage on the plateform after 2015. The current usage metrics is available 48-96 hours after online publication and is updated daily on week days.

Initial download of the metrics may take a while.