Free Access

Fig. 2.

image

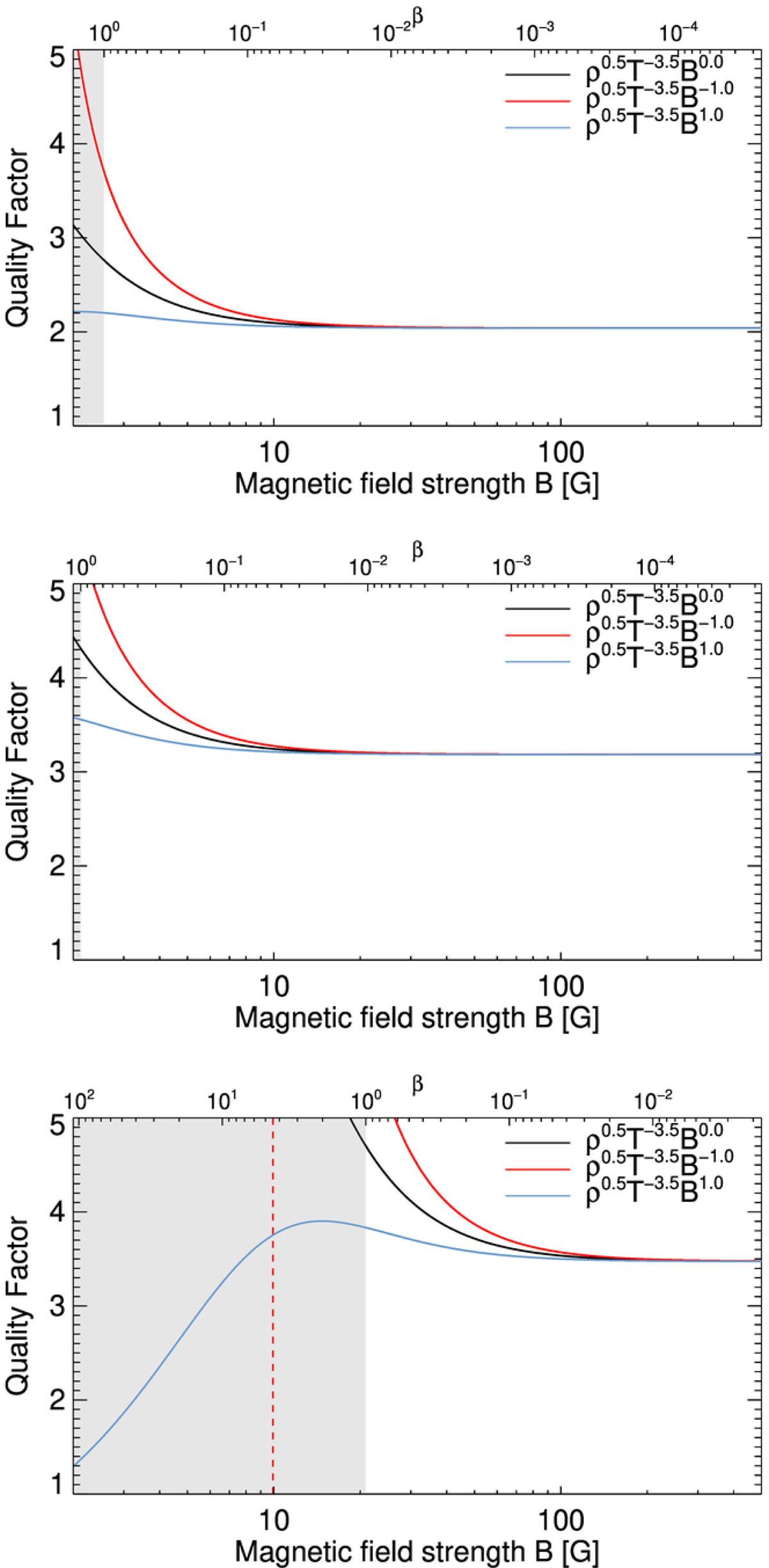
Damping time over period (quality factor) against magnetic field strength, for 3 heating models with differing dependencies on magnetic field strength, which are each coloured (Eqs. (23), (18)). Top: quality factors calculated for plasma parameters corresponding to an upwardly propagating slow wave in a coronal fan loop above a sunspot, T = 0.63 MK, electron density of ne = 1.5 × 109 cm−3, and periodicity set to 3.0 min corresponding to a wavelength of λ = 22 Mm. Middle: quality factors calculated for a slow wave propagating in a coronal plume, T = 1.3 MK, ne = 5 × 108 cm−3, and wavelength λ set to 100 Mm corresponding to a periodicity of 9 min. Bottom: quality factors calculated for a standing slow wave in a hot loop observed by SUMER, T = 6.3 MK, ne = 1 × 1010 cm−3, λ = 250 Mm yielding a periodicity of 11 min. Grey shading marks the β > 1 region, and the dotted line in the bottom plot marks a region in which 𝒯M < 0 and so the effect of thermal misbalance is destabilising the plasma.

Current usage metrics show cumulative count of Article Views (full-text article views including HTML views, PDF and ePub downloads, according to the available data) and Abstracts Views on Vision4Press platform.

Data correspond to usage on the plateform after 2015. The current usage metrics is available 48-96 hours after online publication and is updated daily on week days.

Initial download of the metrics may take a while.