Free Access

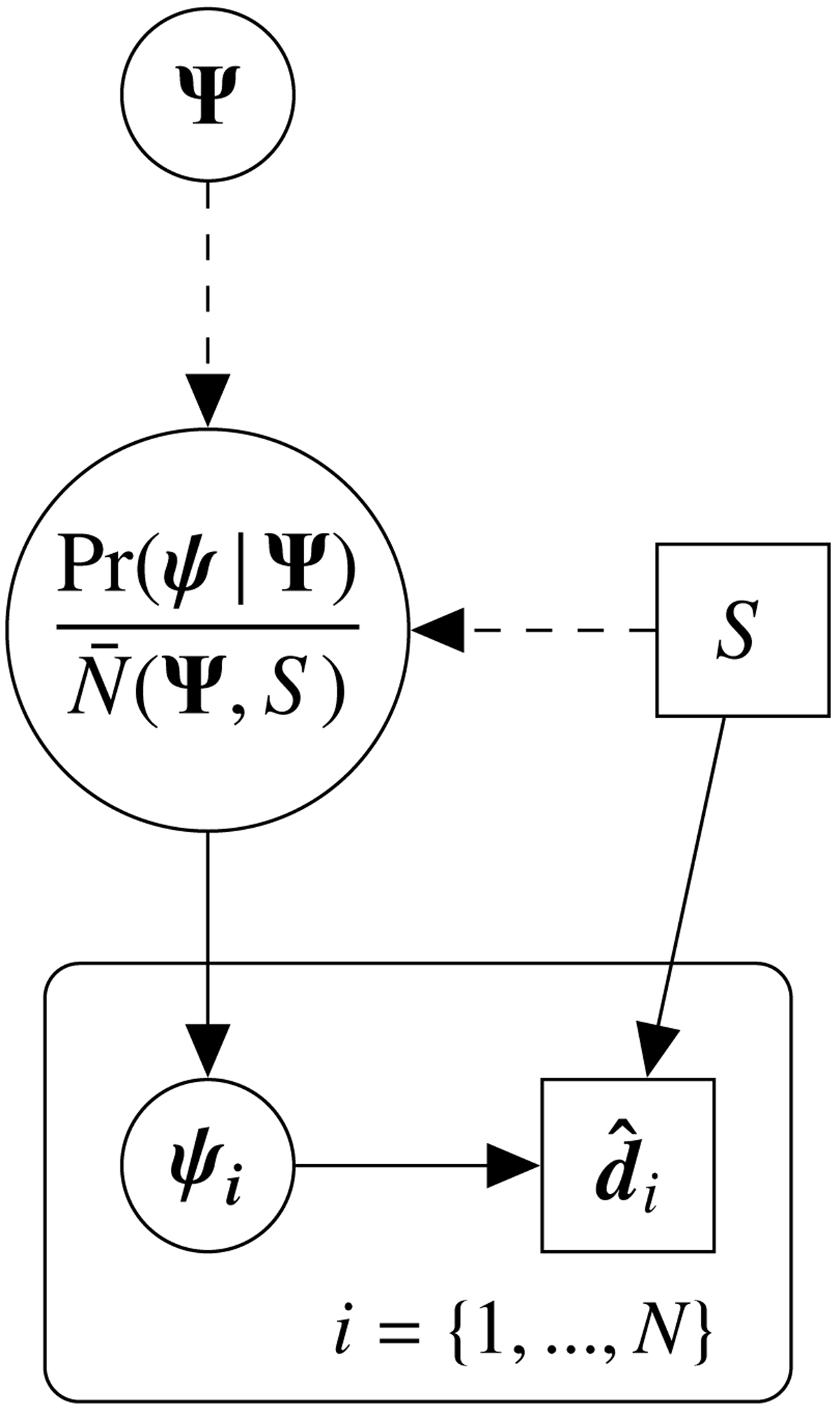
Fig. 3.

image

Directed acyclic graph representing the Bayesian hierarchical model. Quantities inscribed in circles (squares) are free to vary (fixed) during the inference. Arrows with dashed (solid) lines represent deterministic (probabilistic) dependencies. The large square with rounded corners represents iteration over the stars in the stellar sample.

Current usage metrics show cumulative count of Article Views (full-text article views including HTML views, PDF and ePub downloads, according to the available data) and Abstracts Views on Vision4Press platform.

Data correspond to usage on the plateform after 2015. The current usage metrics is available 48-96 hours after online publication and is updated daily on week days.

Initial download of the metrics may take a while.