Free Access

Fig. A.1

image

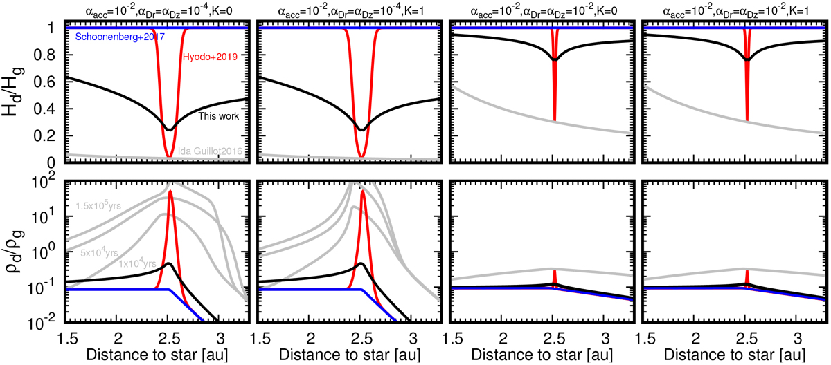
Scale height of silicate dust in a unit of that of the gas (top panels) and midplane dust-to-gas ratio (bottom panels) for different models of Hd (Case of Fp/g = 0.3 and τs,p = 0.1 at 3 au). Here, Drift-BKR and Diff-BKR for pebbles are neglected, whereas Drift-BKR and Diff-BKR (K = 0 or 1) for silicate dust are included. Left two panels: cases of αacc = 10−2 and αDr = αDz = 10−4 with K = 0 or 1, respectively. Right two panels: cases of αacc = 10−2 and αDr = αDz = 10−2 with K = 0 or 1, respectively. The gray lines are the case of Ida & Guillot (2016). The blue lines are the case of Schoonenberg & Ormel (2017). The red lines are the case of Hyodo et al. (2019) and the results show runaway pile-up when αacc = 10−2 and αDr = αDz = 10−4 with K = 1. The black lines are the case of this work (Eq. (36)). In the cases of the gray lines (i.e., Ida & Guillot 2016), pile-ups occur in a runaway fashion for the left two panels, and the time-evolutions are shown for t = 1 × 104 yr, t = 5 × 104 yr, and t = 1.5 × 105 yr. The other cases reach a steady-state within t = 5 × 105 yr. Here, the recycling of water vapor and silicate dust onto pebbles are not included to focus on the different models of Hd.

Current usage metrics show cumulative count of Article Views (full-text article views including HTML views, PDF and ePub downloads, according to the available data) and Abstracts Views on Vision4Press platform.

Data correspond to usage on the plateform after 2015. The current usage metrics is available 48-96 hours after online publication and is updated daily on week days.

Initial download of the metrics may take a while.