Free Access

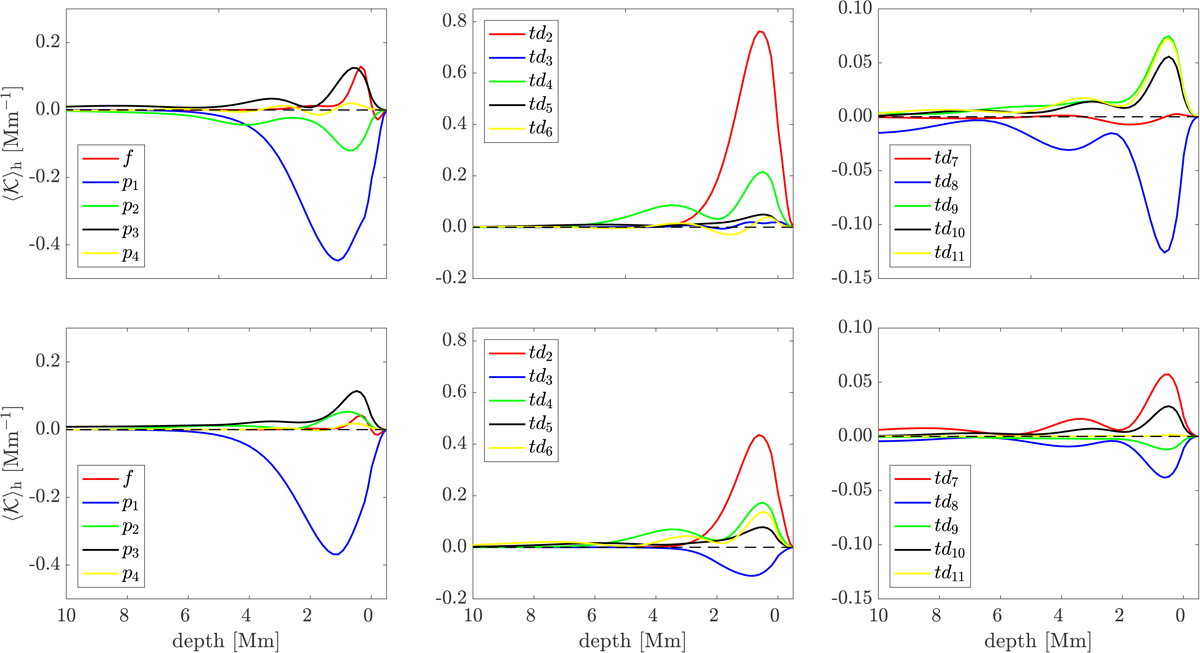
Fig. 8.

image

Contributions to the horizontally averaged averaging kernel for the sound-speed perturbations inversions at 0.5 Mm depth. Top row: inversion with the positive δcs at the supergranule centre. Bottom row: inversion with the negative δcs at the supergranule centre. Left column: ridge filters. Middle column: phase-speed filters from td2 to td6. Right column: phase-speed filters from td7 to td11.

Current usage metrics show cumulative count of Article Views (full-text article views including HTML views, PDF and ePub downloads, according to the available data) and Abstracts Views on Vision4Press platform.

Data correspond to usage on the plateform after 2015. The current usage metrics is available 48-96 hours after online publication and is updated daily on week days.

Initial download of the metrics may take a while.