Free Access

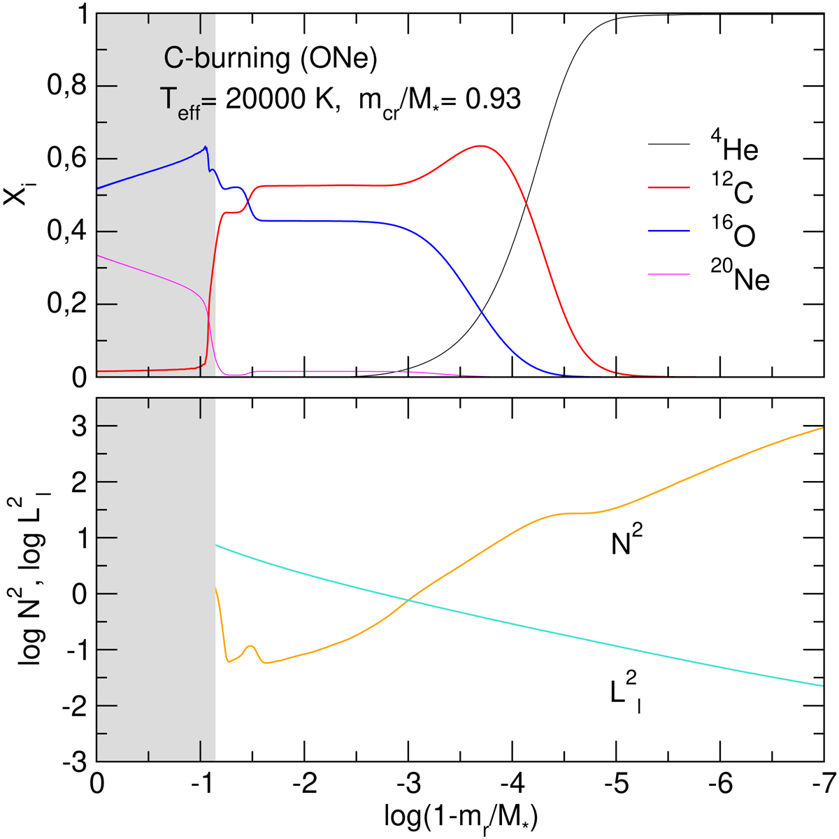
Fig. 10.

image

Upper panel: abundance by mass of 4He, 12C, 16O, and 20Ne versus the outer mass coordinate for the ONe-core 1.29M DB WD model at Teff ∼ 20 000 K. Lower panel: logarithm of the squared Brunt-Väisälä and Lamb frequencies ( = 1).

Current usage metrics show cumulative count of Article Views (full-text article views including HTML views, PDF and ePub downloads, according to the available data) and Abstracts Views on Vision4Press platform.

Data correspond to usage on the plateform after 2015. The current usage metrics is available 48-96 hours after online publication and is updated daily on week days.

Initial download of the metrics may take a while.