Free Access

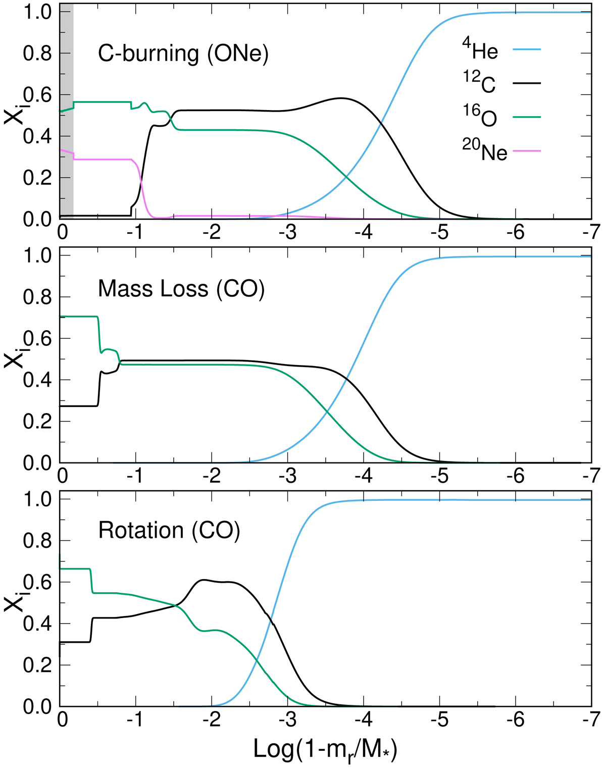
Fig. 3.

image

Same as Fig. 2, but at an effective temperature of Teff ∼ 20 000 K, close to the red edge of the instability domain of DBV WDs. The gray area in the upper panel indicates the domain of core crystallization. The percentage of crystallized mass is ∼34%.

Current usage metrics show cumulative count of Article Views (full-text article views including HTML views, PDF and ePub downloads, according to the available data) and Abstracts Views on Vision4Press platform.

Data correspond to usage on the plateform after 2015. The current usage metrics is available 48-96 hours after online publication and is updated daily on week days.

Initial download of the metrics may take a while.