Free Access

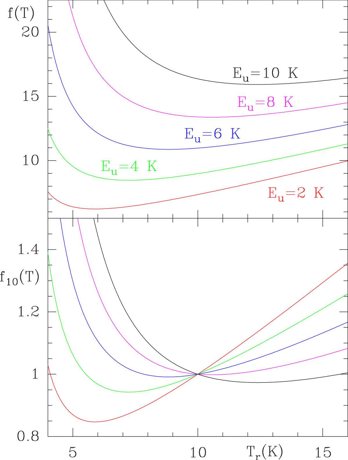
Fig. A.1.

image

Dependency of the derived column density on the assumed rotational temperature for a line at 42.674 GHz (HCS+J = 1 − 0; upper panel). The upper energy level is varied between 2 and 10 K. Lower panel: same function but normalised to its value for Tr = 10 K.

Current usage metrics show cumulative count of Article Views (full-text article views including HTML views, PDF and ePub downloads, according to the available data) and Abstracts Views on Vision4Press platform.

Data correspond to usage on the plateform after 2015. The current usage metrics is available 48-96 hours after online publication and is updated daily on week days.

Initial download of the metrics may take a while.