Open Access

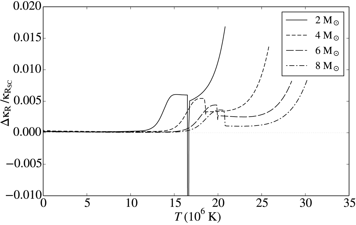
Fig. 2.

image

Relative Rosseland mean opacity differences between Z- and SC-models as a function of temperature at the beginning of the main sequence. The discontinuities between T = 1.6 × 107 and 2.1 × 107 K are due to the shift of the central convective zone boundary between the two kinds of models.

Current usage metrics show cumulative count of Article Views (full-text article views including HTML views, PDF and ePub downloads, according to the available data) and Abstracts Views on Vision4Press platform.

Data correspond to usage on the plateform after 2015. The current usage metrics is available 48-96 hours after online publication and is updated daily on week days.

Initial download of the metrics may take a while.