Free Access

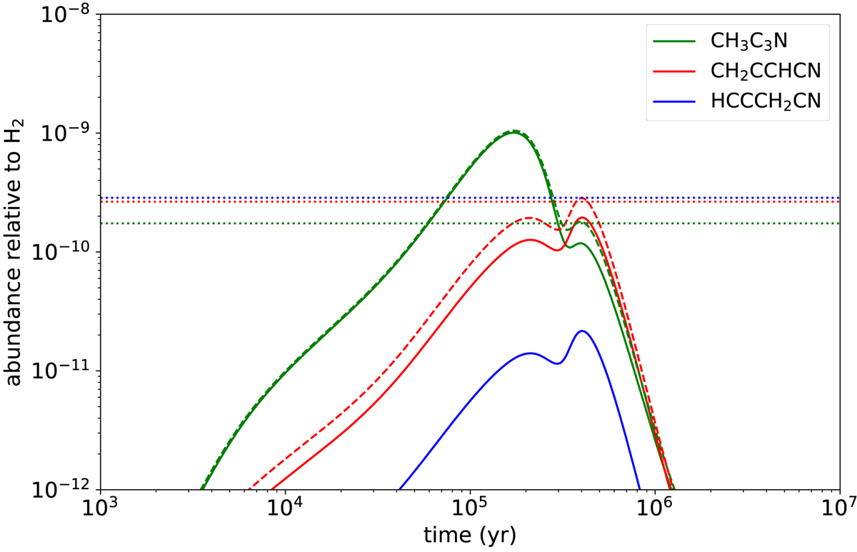
Fig. A.4.

image

Calculated fractional abundances of the three C4H3N isomers as a function of time. Solid and dashed lines correspond to two models in which we use branching ratios for the CN + CH3CCH reaction from Abeysekera et al. (2015) and from Balucani et al. (2000), respectively (see text). The abundances observed in TMC-1 for the three C4H3N isomers (from Table 1, adopting an H2 column density of 1022 cm−2; Cernicharo & Guelin 1987) are shown as horizontal dotted lines.

Current usage metrics show cumulative count of Article Views (full-text article views including HTML views, PDF and ePub downloads, according to the available data) and Abstracts Views on Vision4Press platform.

Data correspond to usage on the plateform after 2015. The current usage metrics is available 48-96 hours after online publication and is updated daily on week days.

Initial download of the metrics may take a while.