Free Access

Fig. 5.

image

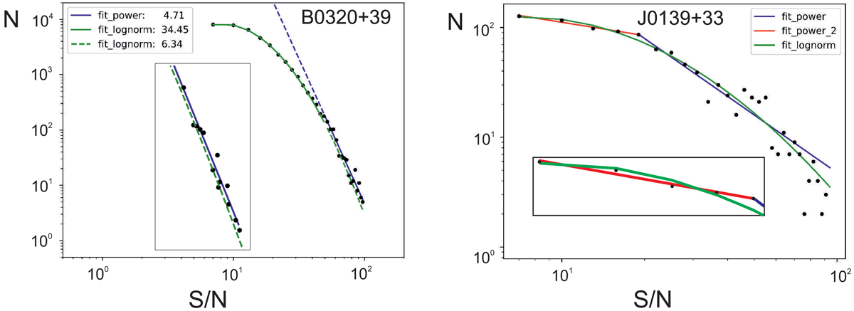
Distribution of peak flux densities in S/N units on the logarithmic scale for the pulsar B0320+39 (left), for transient J0139+33 (right). The vertical axis shows the number of detected pulses, and the horizontal axis shows the S/N of these pulses. The histograms were drawn in increments of three on the abscissa axis. The figure shows that the distributions are different, despite the similar values of the dispersion measures, distances, and flux densities of the strongest observed pulses in the second pulsar B0320+39 and the second transient J0139+33. The lognormal distribution with probable power tail (see the fragment of the figure) was fit for B0320+39, and the broken power dependence was fit for J0139+33 (see the fragment of the figure). Standard deviations are shown in the upper corner of B0320+39.

Current usage metrics show cumulative count of Article Views (full-text article views including HTML views, PDF and ePub downloads, according to the available data) and Abstracts Views on Vision4Press platform.

Data correspond to usage on the plateform after 2015. The current usage metrics is available 48-96 hours after online publication and is updated daily on week days.

Initial download of the metrics may take a while.