Free Access

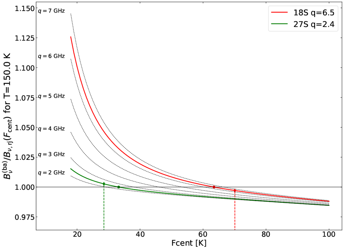
Fig. A.1

image

Ratio computed for T = 150 K as a functionof νcent for the bandpasses of the radiometers 18S (thick red line) and 27S (thick green line), offseted in frequency, and for a set oftop-hat bandpasses of different width (black thin lines). The vertical dashed lines indicates the central frequencies of the radiometers. The bandwidth of the bandpasses are expressed as function of the effective bandwidth q defined in Eq. (A.21). The q-values for the top-hat bandpasses are printed at the left of each curve, while the Planck/LFI bandpass is 6.5 GHz for 18S and 2.4 GHz for 27S.

Current usage metrics show cumulative count of Article Views (full-text article views including HTML views, PDF and ePub downloads, according to the available data) and Abstracts Views on Vision4Press platform.

Data correspond to usage on the plateform after 2015. The current usage metrics is available 48-96 hours after online publication and is updated daily on week days.

Initial download of the metrics may take a while.