Free Access

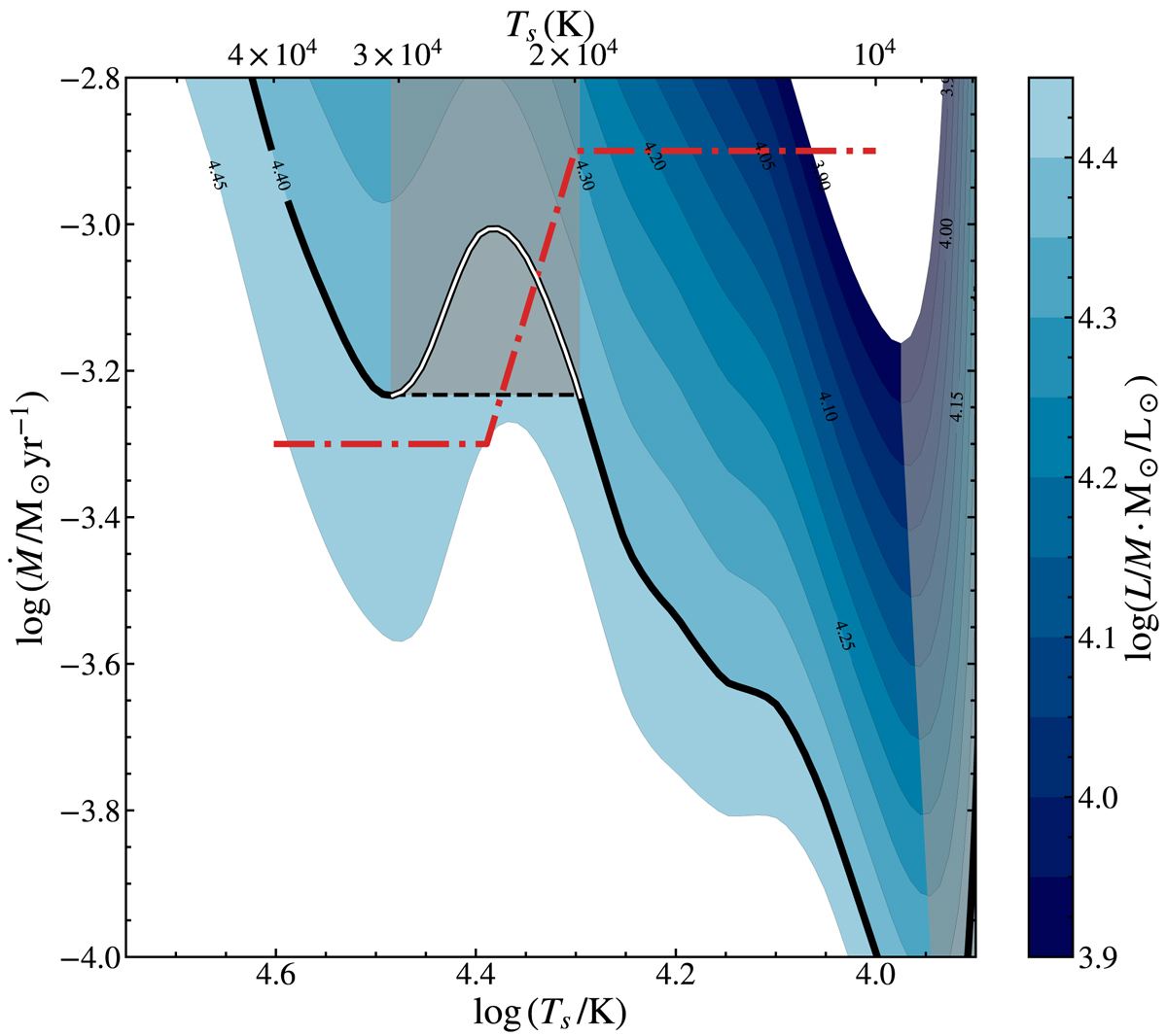
Fig. B.1.

image

Sonic-point diagram associating the sonic-point temperature and the mass-loss rate to the contours of luminosity-to-mass ratio (for a metallicity 0.02 and a helium mass-fraction 0.48), color-coded according to the bar on the right side. The thick black line follows the contour indicating the possible sonic-point conditions of a star with L/M = 104.4L/M. The white section of this contour and the gray shaded areas indicate the forbidden temperature range. The dot-dashed red line indicates the mass-loss prescription adopted in our numerical calculations.

Current usage metrics show cumulative count of Article Views (full-text article views including HTML views, PDF and ePub downloads, according to the available data) and Abstracts Views on Vision4Press platform.

Data correspond to usage on the plateform after 2015. The current usage metrics is available 48-96 hours after online publication and is updated daily on week days.

Initial download of the metrics may take a while.