Free Access

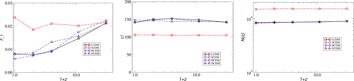
Fig. 6.

image

Evolution of percolation parameters of supercluster ensembles. Left panel: change in filling factor Ff in the models with cosmic epoch z. Middle panel: evolution of the minimum fitness lengths with epoch Lf(z). Right panel: evolution of the maximum numbers of clusters with epoch N(z).

Current usage metrics show cumulative count of Article Views (full-text article views including HTML views, PDF and ePub downloads, according to the available data) and Abstracts Views on Vision4Press platform.

Data correspond to usage on the plateform after 2015. The current usage metrics is available 48-96 hours after online publication and is updated daily on week days.

Initial download of the metrics may take a while.