Free Access

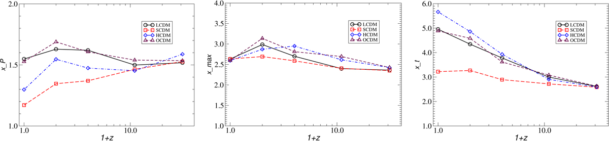
Fig. 7.

image

Evolution of reduced percolation parameters of supercluster ensembles. Left panel: evolution of the reduced percolation threshold with cosmic epoch. Middle panel: change in evolution of the reduced density threshold at the maxima of the numbers of superclusters. Right panel: evolution of the reduced density threshold for finding superclusters.

Current usage metrics show cumulative count of Article Views (full-text article views including HTML views, PDF and ePub downloads, according to the available data) and Abstracts Views on Vision4Press platform.

Data correspond to usage on the plateform after 2015. The current usage metrics is available 48-96 hours after online publication and is updated daily on week days.

Initial download of the metrics may take a while.