Open Access

Fig. 1.

image

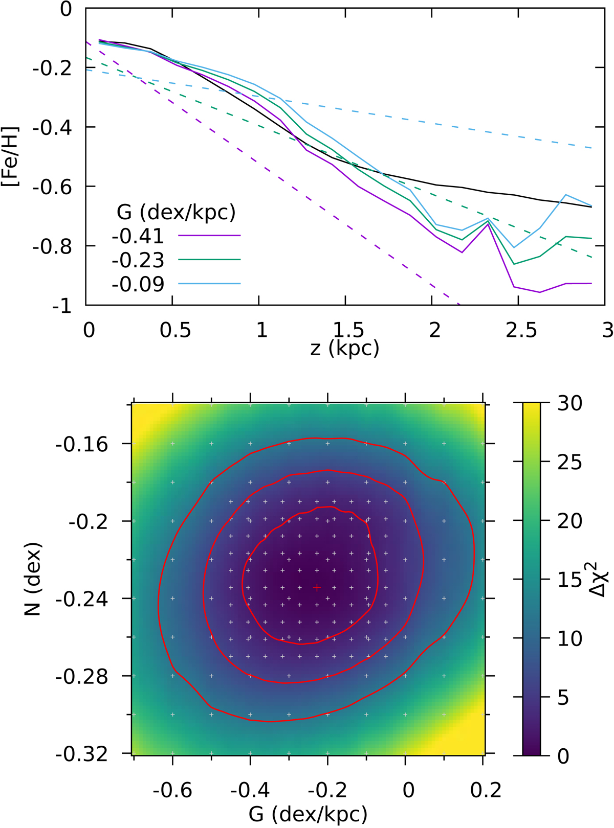
Procedure for finding the correct initialisation of the vertical profile. Top panel: initial (dashed lines) and final (solid lines) vertical metallicity profiles of the mock galaxy. The green line marks the model with the lowest final χ2, while the blue and violet lines correspond to 1σ-worse models. The black line shows the vertical profile of the original mock galaxy. Bottom panel: map of final Δχ2 as a function of initial G and N in Eq. (5). Grey crosses indicate the actually computed models, while the underlying coloured map is a result of interpolation. Red contours depict 1-, 2-, and 3-σ regions. The red cross indicates the model with the lowest χ2.

Current usage metrics show cumulative count of Article Views (full-text article views including HTML views, PDF and ePub downloads, according to the available data) and Abstracts Views on Vision4Press platform.

Data correspond to usage on the plateform after 2015. The current usage metrics is available 48-96 hours after online publication and is updated daily on week days.

Initial download of the metrics may take a while.