Free Access

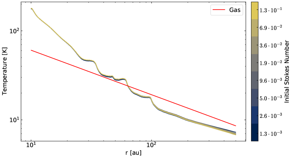
Fig. D.1

image

Comparison of prescribed gas temperature in the hydrodynamical simulation and the dust temperatures of the thermal Monte-Carlo calculation at the disk mid plane for all grain sizes.

Current usage metrics show cumulative count of Article Views (full-text article views including HTML views, PDF and ePub downloads, according to the available data) and Abstracts Views on Vision4Press platform.

Data correspond to usage on the plateform after 2015. The current usage metrics is available 48-96 hours after online publication and is updated daily on week days.

Initial download of the metrics may take a while.