Free Access

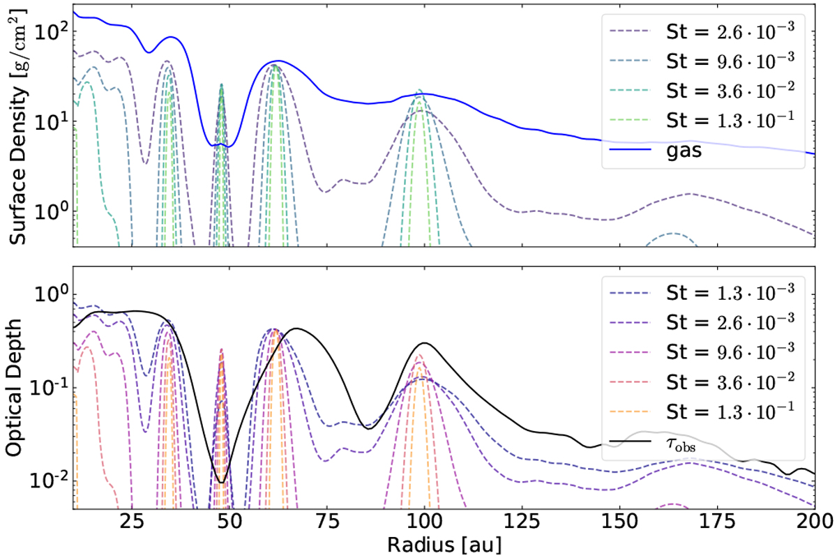
Fig. 5

image

Upper panel: azimuthally averaged dust and gas surface densities of model fid_dres after 1000 orbits at 48 au. Dust density profiles are normalized to the gas peak value at the location of ring 1. Lower panel: azimuthally averaged optical depths of model mid after 1000 orbits at 48 au compared to the observed optical depth τobs. Simulated optical depths are normalized to τobs at the location of ring 1.

Current usage metrics show cumulative count of Article Views (full-text article views including HTML views, PDF and ePub downloads, according to the available data) and Abstracts Views on Vision4Press platform.

Data correspond to usage on the plateform after 2015. The current usage metrics is available 48-96 hours after online publication and is updated daily on week days.

Initial download of the metrics may take a while.