Free Access

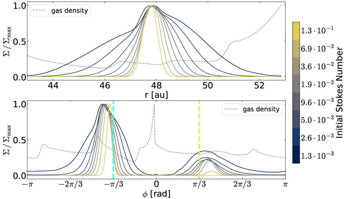
Fig. 8

image

Radial and azimuthal cut through the maximum of the crescent-shaped asymmetry around L5 of the fiducial model fid_dres after 500 orbits at 48 au. The color map indicates the different initial Stokes numbers of the dust fluids. The dashed lines represent the gas density. The surface densities are normalized to their respective maximum value in the co-orbital region of planet 1. The light-blue and light-green vertical lines indicate the Lagrange points L5 and L4, respectively.

Current usage metrics show cumulative count of Article Views (full-text article views including HTML views, PDF and ePub downloads, according to the available data) and Abstracts Views on Vision4Press platform.

Data correspond to usage on the plateform after 2015. The current usage metrics is available 48-96 hours after online publication and is updated daily on week days.

Initial download of the metrics may take a while.