Free Access

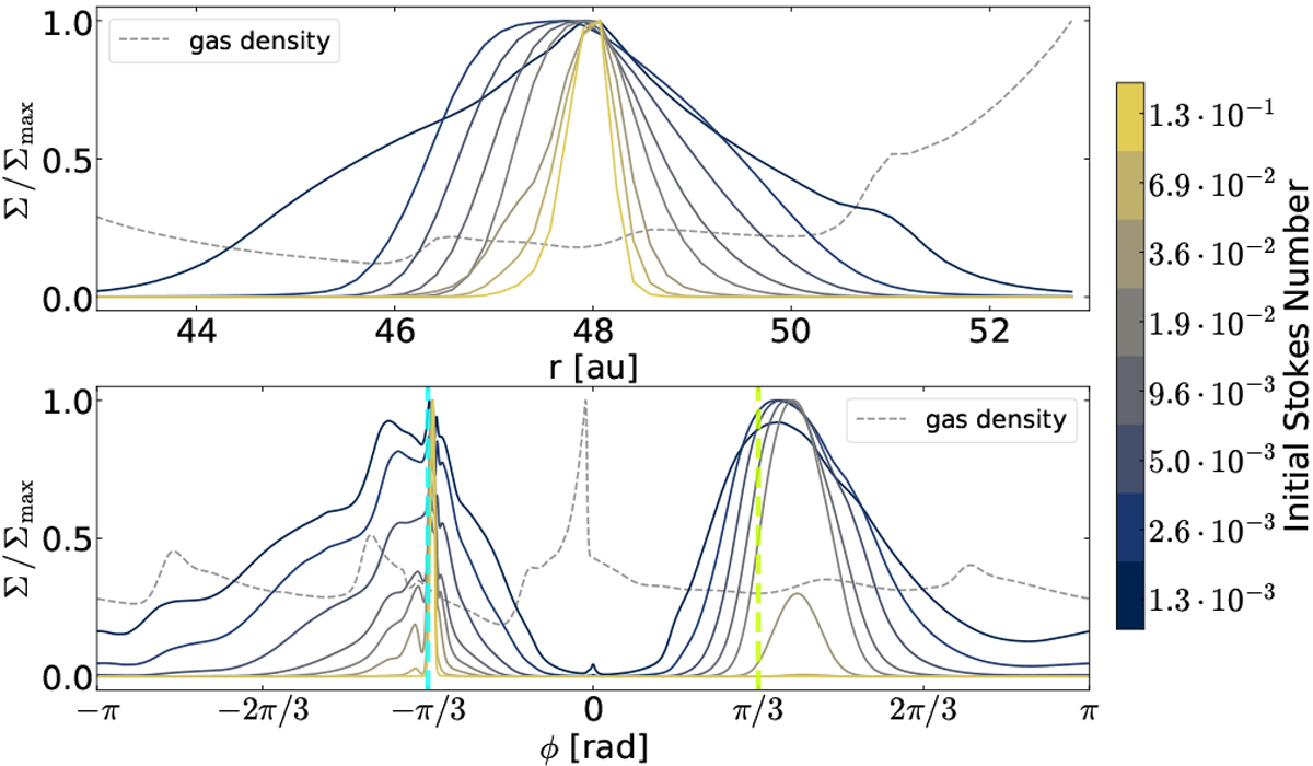
Fig. 9

image

Radial and azimuthal cut through the maximum density value in the co-orbital region of the model p1m6fb_dres with dust feedback after 500 orbits at 48 au. The light-blue and light-green vertical lines indicate the Lagrange points L5 and L4 respectively. Depending on the location of the feature the density cuts are normalized to the peak value in the region of L4 or L5. Smaller dust with St ≲ 3.6 × 10−2 is preferablyconcentrated in L4.

Current usage metrics show cumulative count of Article Views (full-text article views including HTML views, PDF and ePub downloads, according to the available data) and Abstracts Views on Vision4Press platform.

Data correspond to usage on the plateform after 2015. The current usage metrics is available 48-96 hours after online publication and is updated daily on week days.

Initial download of the metrics may take a while.