Free Access

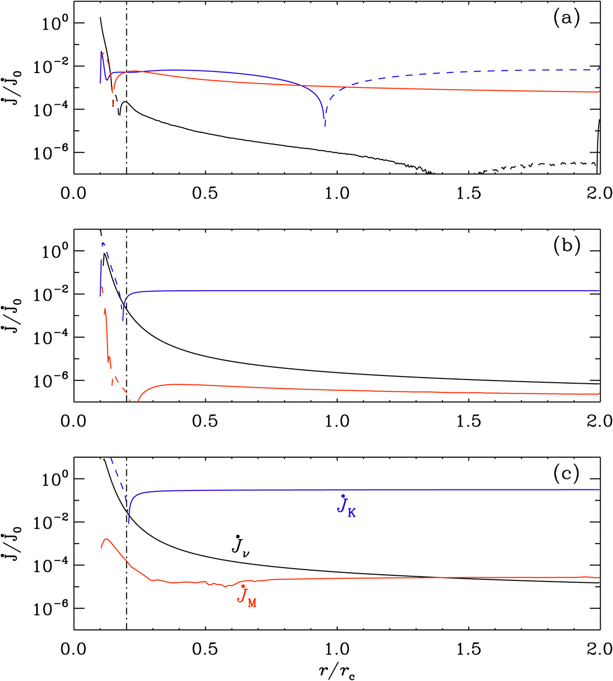
Fig. 16.

image

Radial profiles of the latitudinally averaged for Models A–C in panels a–c. The blue (red) lines refer to kinetic (magnetic) contributions, and the black lines denote the turbulent viscous contribution. Positive (negative) values are shown as solid (dotted) lines. The total (kinetic, magnetic, and viscous) angular momentum transport is dominated by the kinetic contribution, except for Model A, where the magnetic contribution is rather strong, but negative in the outer parts.

Current usage metrics show cumulative count of Article Views (full-text article views including HTML views, PDF and ePub downloads, according to the available data) and Abstracts Views on Vision4Press platform.

Data correspond to usage on the plateform after 2015. The current usage metrics is available 48-96 hours after online publication and is updated daily on week days.

Initial download of the metrics may take a while.