Free Access

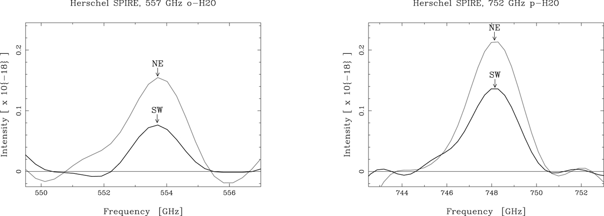
Fig. 5.

image

Herschel SPIRE 557 GHz o-H2O (left) and 752 GHz p-H2O (right) profiles observed toward the NGC 1365 NE (gray) and SW (black) torus positions. Intensity units are W m−2 Hz−1 sr−1. The HPBW beamwidth is 35″ and the separation between the NE and SW positions is 15″.

Current usage metrics show cumulative count of Article Views (full-text article views including HTML views, PDF and ePub downloads, according to the available data) and Abstracts Views on Vision4Press platform.

Data correspond to usage on the plateform after 2015. The current usage metrics is available 48-96 hours after online publication and is updated daily on week days.

Initial download of the metrics may take a while.