Free Access

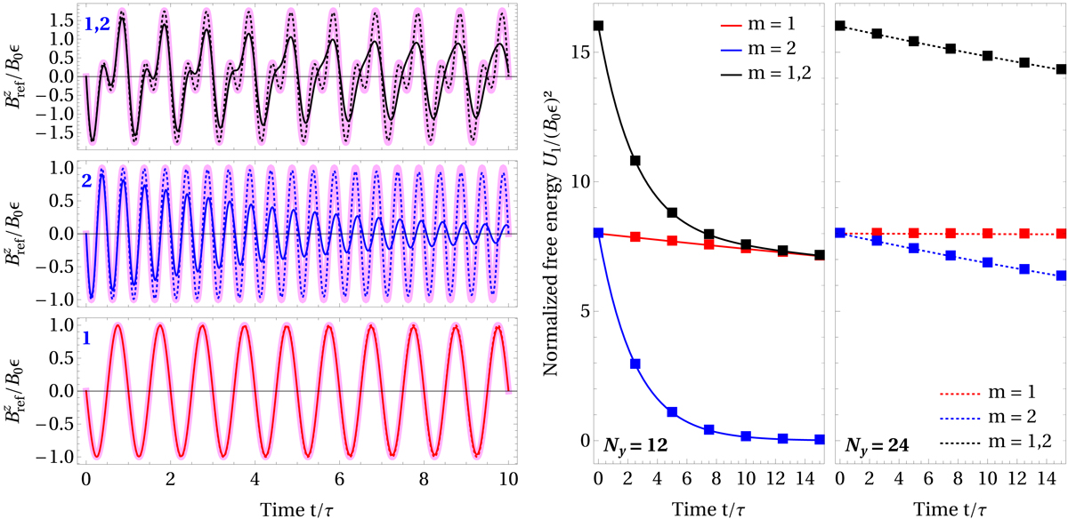
Fig. 2.

image

Exemplary amplitude evolution of selected modes of the fast wave model (showing m = 1, m = 2, as well as the superposition m = 1, 2). The time is normalized to the light crossing time of the computational domain (τ). Left: field amplitude at the point y = 0 for a superposition of modes m = 1,  2 (top panel), m = 2 (middle), and m = 1 (bottom). The analytic solution is indicated in the background (thick magenta lines). Different resolutions are visualized by solid (Ny = 12) and dotted (Ny = 24) lines. Right: evolution of the energy contained in the perturbations, given by Eq. (8), scaled to (squares) and theoretical model (solid lines for Ny = 12 and dashed lines for Ny = 24) employing the fit parameters from Table 1. Mixed modes evolve according to a superposition of two exponentially damped plasma waves with the appropriately scaled damping rates inferred from Fig. 1.

Current usage metrics show cumulative count of Article Views (full-text article views including HTML views, PDF and ePub downloads, according to the available data) and Abstracts Views on Vision4Press platform.

Data correspond to usage on the plateform after 2015. The current usage metrics is available 48-96 hours after online publication and is updated daily on week days.

Initial download of the metrics may take a while.