Free Access

Fig. 9.

image

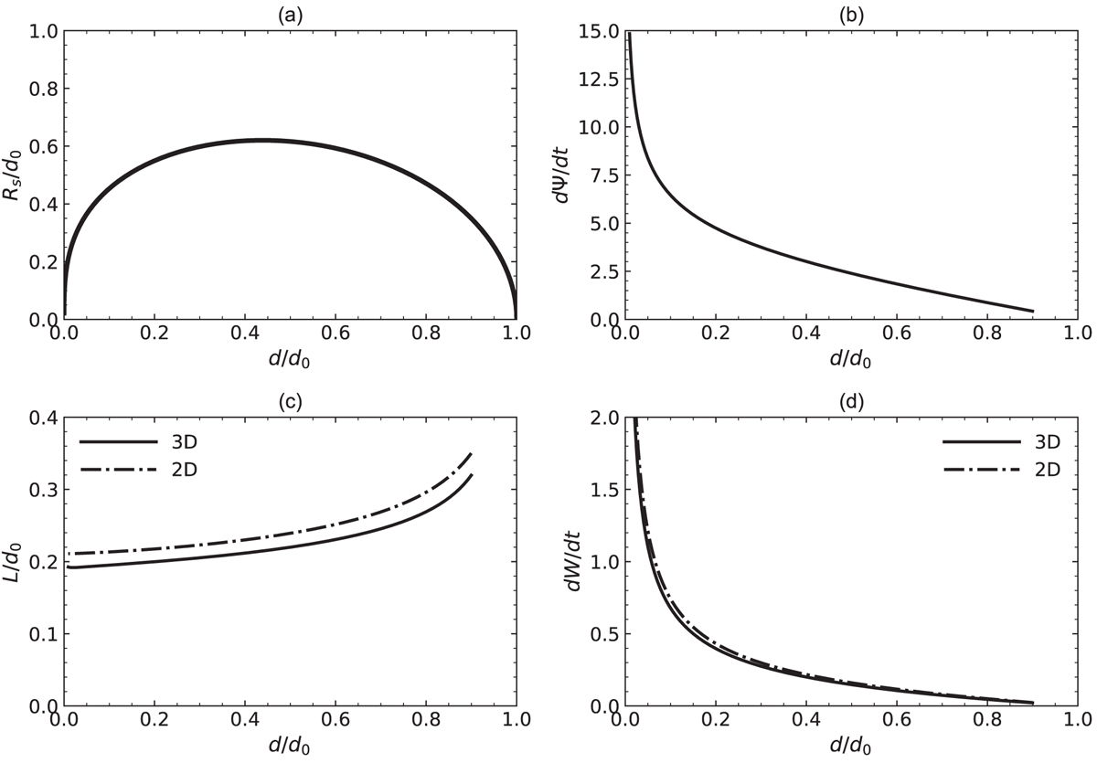
Phase 1 properties for a 3D current sheet as functions of the half-separation (d) of the two magnetic sources in units of the interaction distance (d0): (a) the height (RS) of the separator, (b) the rate of change (dψ/dt) of magnetic flux below the separator, (c) the current sheet length (L), and (d) the energy conversion rate (dW/dt) in units of . Dash-dot curves show the results for a 2D sheet (Priest et al. 2018).

Current usage metrics show cumulative count of Article Views (full-text article views including HTML views, PDF and ePub downloads, according to the available data) and Abstracts Views on Vision4Press platform.

Data correspond to usage on the plateform after 2015. The current usage metrics is available 48-96 hours after online publication and is updated daily on week days.

Initial download of the metrics may take a while.