Free Access

Fig. 5.

image

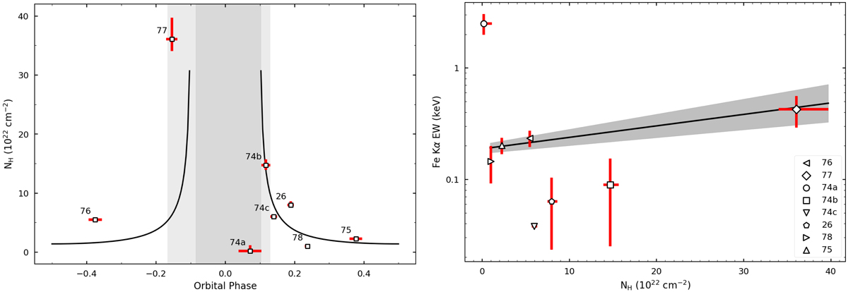
Left: phase evolution of the absorption column density. The light grey stripes indicate ingress and egress transitions, while the dark grey stripe indicates the eclipse. The full black line corresponds to a Castor et al. (1975) wind model fit using system parameters from Coley et al. (2015). A clear excess over the model can be seen for phases previous to the eclipse, suggesting an additional contributing component than just wind absorption. Right: Fe Kα unabsorbed EW against the absorption column. The labels are phase ordered. The linear behaviour in non-eclipsing phases suggests that the Fe line emission region closely follows the NS orbital motion.

Current usage metrics show cumulative count of Article Views (full-text article views including HTML views, PDF and ePub downloads, according to the available data) and Abstracts Views on Vision4Press platform.

Data correspond to usage on the plateform after 2015. The current usage metrics is available 48-96 hours after online publication and is updated daily on week days.

Initial download of the metrics may take a while.