Open Access

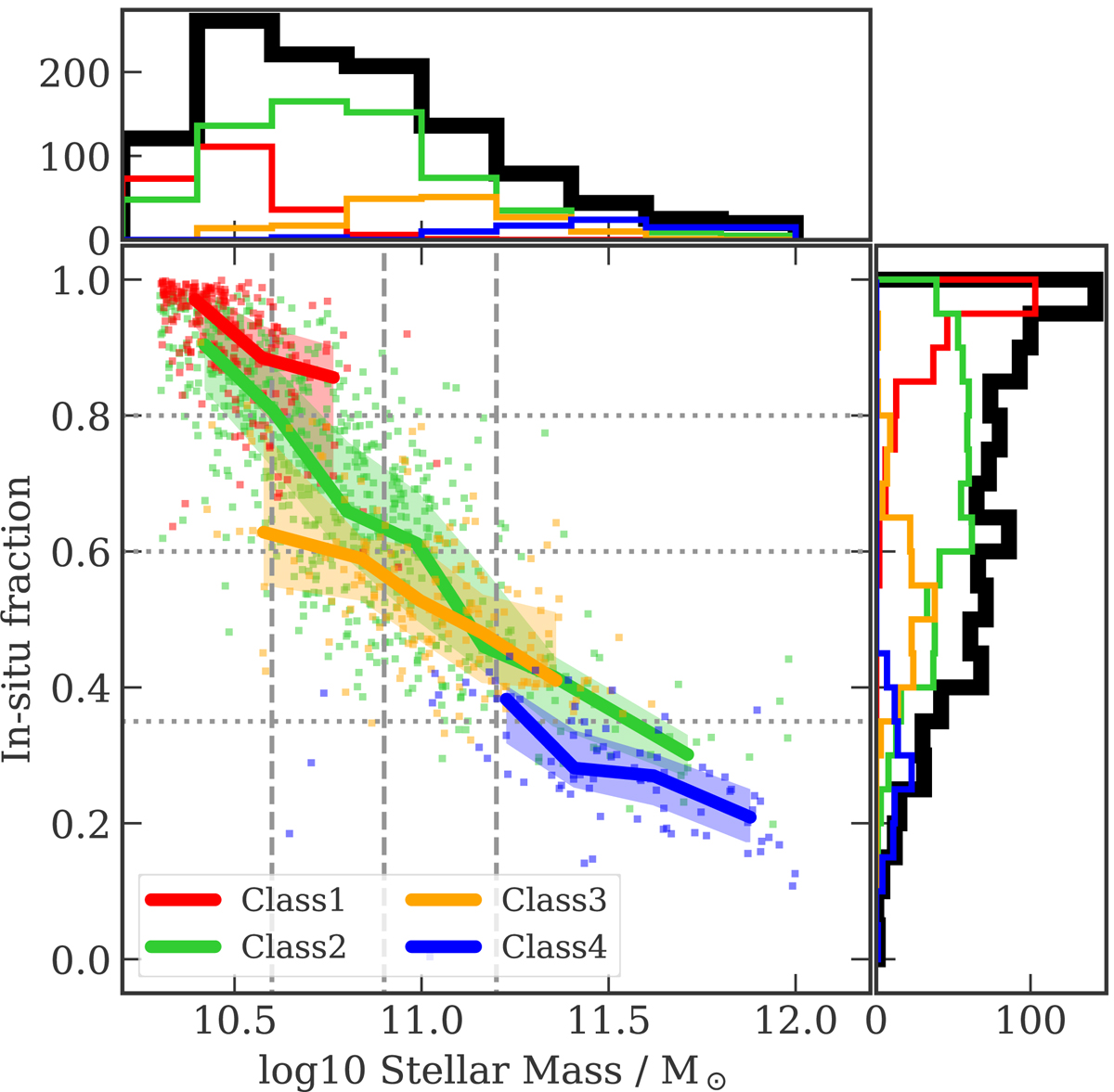
Fig. 4.

image

Total in-situ mass fraction as a function of the stellar mass for the four accretion classes. Solid lines show the median profiles for each class and the shaded regions the 25th to 75th percentiles. Dashed vertical lines show the stellar mass bins considered in the text. The dotted horizontal lines show the bins in in-situ mass fraction. Each accretion class dominates at a different stellar mass and is characterized by a different total in-situ mass fraction.

Current usage metrics show cumulative count of Article Views (full-text article views including HTML views, PDF and ePub downloads, according to the available data) and Abstracts Views on Vision4Press platform.

Data correspond to usage on the plateform after 2015. The current usage metrics is available 48-96 hours after online publication and is updated daily on week days.

Initial download of the metrics may take a while.