Press Release
Free Access

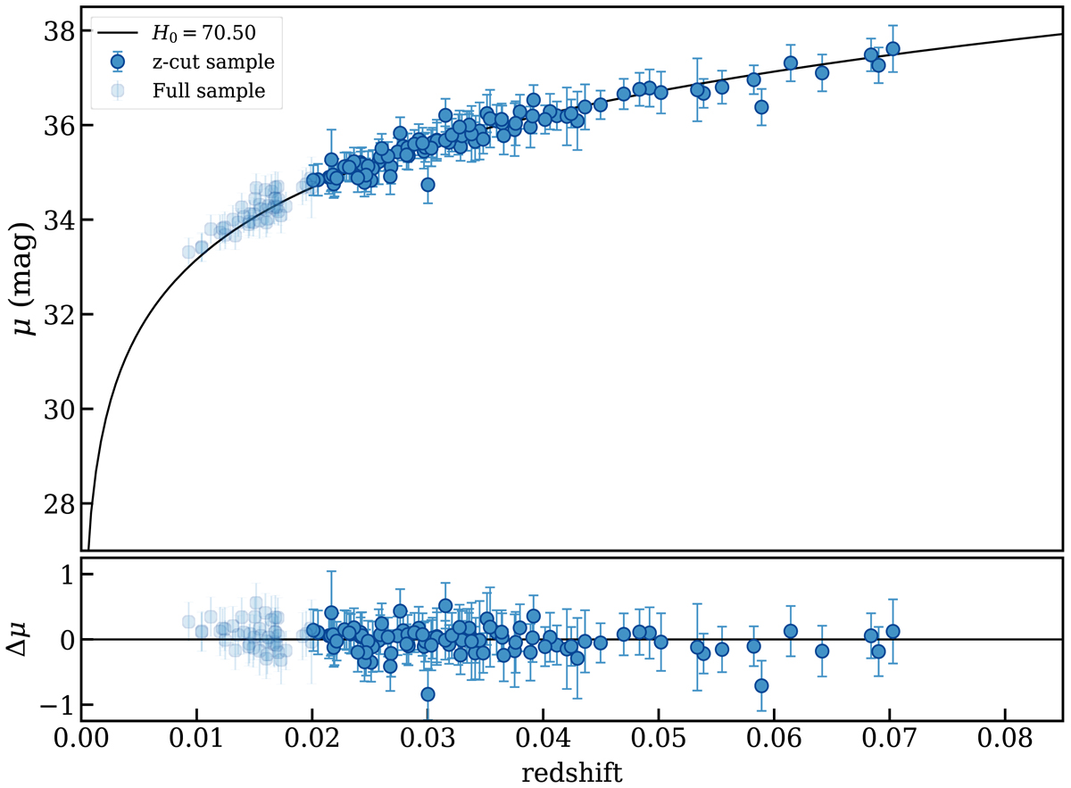
Fig. 7.

image

Hubble diagram for the cosmological samples. The distance moduli of the SNe Ia are computed using the SBF calibration. The solid black line in the top panel corresponds to the H0 value estimated for the redshift-cut cosmological sample of the 96 SNe Ia with z > 0.02. Lower panel: residual plot.

Current usage metrics show cumulative count of Article Views (full-text article views including HTML views, PDF and ePub downloads, according to the available data) and Abstracts Views on Vision4Press platform.

Data correspond to usage on the plateform after 2015. The current usage metrics is available 48-96 hours after online publication and is updated daily on week days.

Initial download of the metrics may take a while.