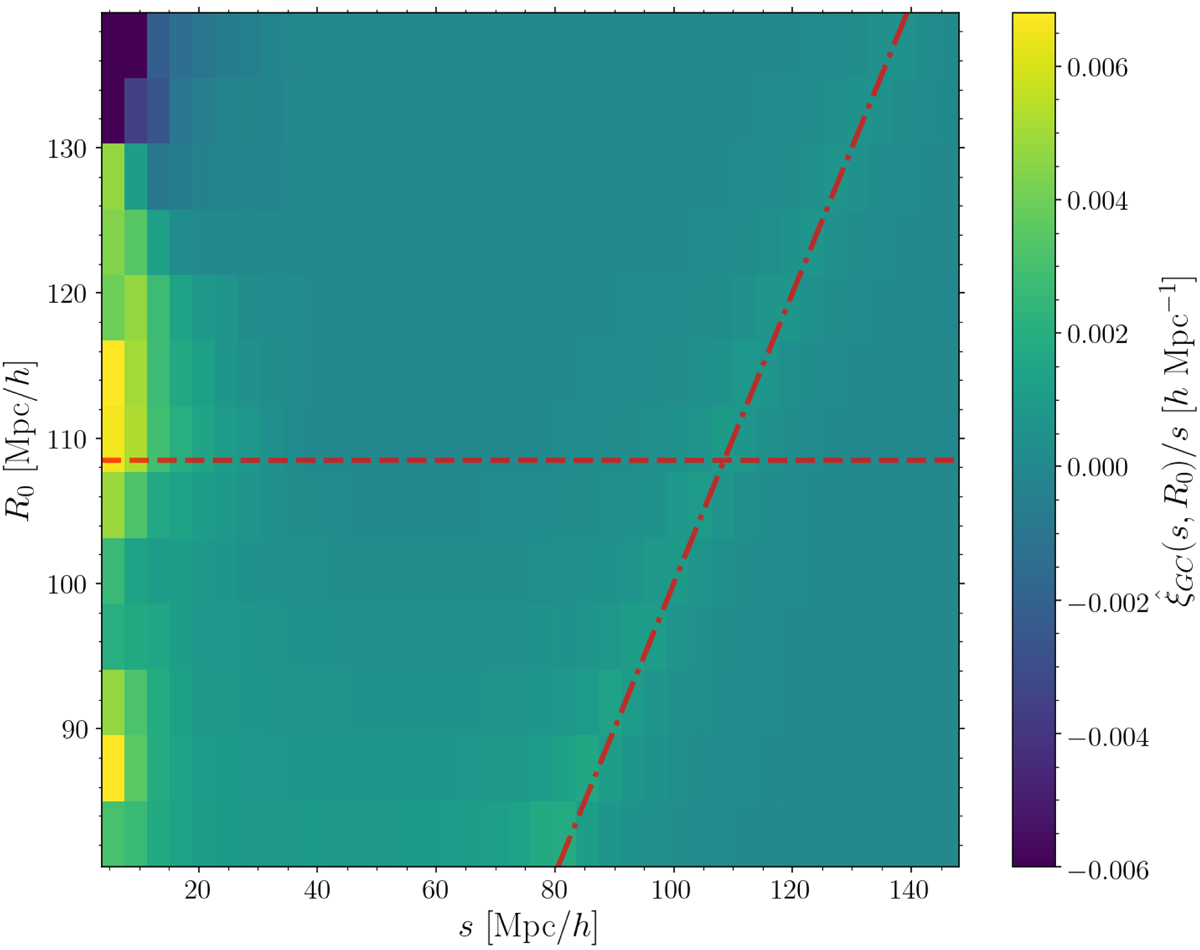
Fig. 7.

Cross correlation of probable center locations with SDSS DR9 galaxies as a function of the objects’ separation, s, and the hypothesized BAO scale of CenterFinder used to generate the center catalog, R0. The cross correlation is adjusted for clarity (divided by s). The dashed line (red) indicates an estimate of the BAO scale observed in the 2pcf. The dot-dashed line (red) indicates s = R0.
Current usage metrics show cumulative count of Article Views (full-text article views including HTML views, PDF and ePub downloads, according to the available data) and Abstracts Views on Vision4Press platform.
Data correspond to usage on the plateform after 2015. The current usage metrics is available 48-96 hours after online publication and is updated daily on week days.
Initial download of the metrics may take a while.