Open Access

Fig. 1

image

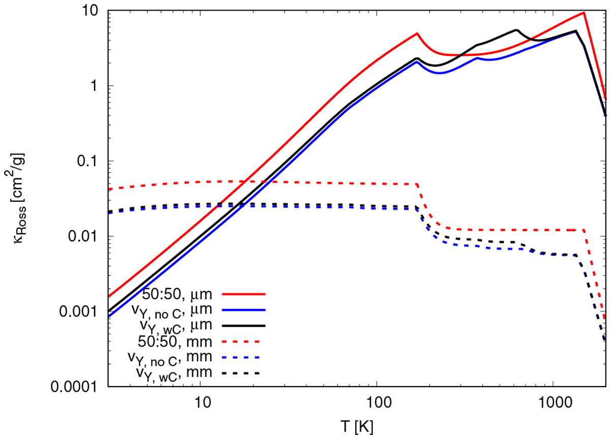
Rosseland mean opacities κross as a function of temperature for the three different compositional assumptions. We use a 50:50 mixture between water andsilicates, the complex chemical model without carbon grains and with carbon grains noted as vY, no C and vY, w C in Table 1, respectively. We only show here the opacities for μm-and mm-sized dust. A clear difference between the different chemical compositions is visible.

Current usage metrics show cumulative count of Article Views (full-text article views including HTML views, PDF and ePub downloads, according to the available data) and Abstracts Views on Vision4Press platform.

Data correspond to usage on the plateform after 2015. The current usage metrics is available 48-96 hours after online publication and is updated daily on week days.

Initial download of the metrics may take a while.