Open Access

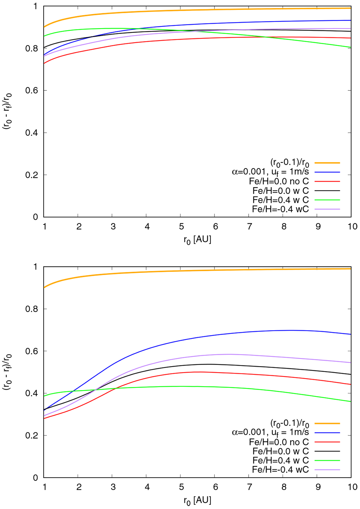
Fig. 12

image

Change of semi-major axis relative to the initial planetary positions for planetarycores with initially 15 (top) and 25 (bottom) Earth masses in discs with α = 0.001 and grain size distributions with uf = 1 m s−1. The orange line marks the value if the planet reaches the inner edge of the disc at 0.1 AU.

Current usage metrics show cumulative count of Article Views (full-text article views including HTML views, PDF and ePub downloads, according to the available data) and Abstracts Views on Vision4Press platform.

Data correspond to usage on the plateform after 2015. The current usage metrics is available 48-96 hours after online publication and is updated daily on week days.

Initial download of the metrics may take a while.